Bluesky Facebook Reddit Email

Cooperation benefits from peer-punishment

05.02.23 | PNAS Nexus

Rigol DP832 Triple-Output Bench Power Supply

Rigol DP832 Triple-Output Bench Power Supply powers sensors, microcontrollers, and test circuits with programmable rails and stable outputs.


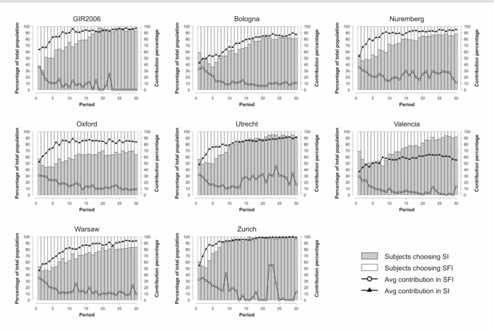
A multi-lab replication of a 2006 study supports the role of peer sanction in promoting human cooperation. Cooperation is imperative for society to successfully solve complex problems, including climate change. One approach many groups have adopted is a system of peer sanctions for noncooperators. Such a system incurs costs to participants, who must impose the sanctions, but can allow cooperators to feel more secure that their investments in the shared project will be matched by others. A 2006 study suggested that groups with peer sanctions outgrew and outperformed groups without a peer-sanctioning institution. In light of the current replication crisis in the social sciences, Sergio Lo Iacono and his colleagues attempted to replicate the 2006 study at seven sites in Europe. Each replication had 144 participants. Participants interacted anonymously in groups of 12 for 30 rounds. In each round, each participant could choose to join a sanctioning group or a non-sanctioning group. Next, each participant chose how many of 20 tokens to contribute to the collective. These tokens would be multiplied by 1.6 and divided equally among the group members. In groups with sanctioning institutions, there was a second stage of play, in which participants could “punish” participants who had not contributed adequately to the group project by taking away their tokens—but at a cost to themselves. In five out of the seven replications, the original pattern from the 2006 study held up: the majority of participants eventually chose to join groups with a sanctioning institution, and participants in sanctioning groups cooperated and profited more on average than participants in groups without a sanctioning institution. In the remaining two locations, results were weaker than in the original study yet still favored sanctioning institutions. Overall, these findings show that the emergence and persistence of sanctioning institutions to support cooperation in public goods dilemmas is a robust phenomenon within the European context, according to the authors.

PNAS Nexus

10.1093/pnasnexus/pgad091

The competitive advantage of sanctioning institutions revisited: A multi-lab replication

2-May-2023

Keywords

Article Information

Contact Information

Sergio Lo Iacono
University of Essex, UK
sloiac@essex.ac.uk
Wojtek Przepiorka
Utrecht University, NL
w.przepiorka@uu.nl

Source

How to Cite This Article

APA:
PNAS Nexus. (2023, May 2). Cooperation benefits from peer-punishment. Brightsurf News. https://www.brightsurf.com/news/147OXG91/cooperation-benefits-from-peer-punishment.html
MLA:
"Cooperation benefits from peer-punishment." Brightsurf News, May. 2 2023, https://www.brightsurf.com/news/147OXG91/cooperation-benefits-from-peer-punishment.html.