Bluesky Facebook Reddit Email

Quantum anomaly -- breaking a classical symmetry with ultracold atoms

09.18.18 | ARC Centre of Excellence in Future Low-Energy Electronics Technologies

Rigol DP832 Triple-Output Bench Power Supply

Rigol DP832 Triple-Output Bench Power Supply powers sensors, microcontrollers, and test circuits with programmable rails and stable outputs.


A FLEET study of ultracold atomic gases - a billionth the temperature of outer space - has unlocked new, fundamental quantum effects.

The researchers at Swinburne University of Technology studied collective oscillations in ultracold atomic gases - identifying where quantum effects occur to 'break' symmetries predicted by classical physics.

They also observed the transition between two-dimensional (2D) behaviour and three-dimensional (3D) behaviour.

"Fundamental discoveries made from such observations will inform FLEET's search for electronic conduction without wasted dissipation of energy," explained study-author Professor Chris Vale.

FUNDAMENTAL PHYSICS WITH AN IMMEDIATE APPLICATION

Two-dimensional materials exhibit many novel physical properties and are keenly studied for their potential uses - for example, in ultra-low energy electronics.

However, strong correlations and imperfections within 2D materials make them difficult to understand theoretically. Quantum gases of ultra-cold neutral atoms will help unlock the fundamental physics of 2D materials, as well as uncovering new phenomena that are not readily accessible in other systems.

Experiments performed on quantum gases of ultra-cold neutral atoms enhance our understanding of phase transitions and the effects of interactions between particles.

This improved ability, understanding and control of phase transitions will have a direct application in FLEET's development of future low-energy, topologically-based electronics.

SYMMETRY

'Symmetries' are an essential ingredient in the formulation of many physics theories, allowing simplified descriptions by identifying which factors don't modify a system's underlying physical properties.

For example, in a 'scale invariant' system, changing the distances between its particles doesn't alter the behaviour of a material but merely 'scales' it by an appropriate factor.

Gases of ultracold atoms confined to a two-dimensional plane allowed the researchers to explore regimes where that 'scaling symmetry' can be broken by quantum effects.

THE STUDY

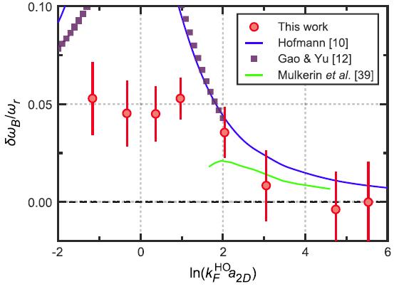
Researchers studied a strongly-interacting 2D Fermi gas of Lithium-6 atoms, measuring the frequency of a radial oscillation known as the 'breathing mode', the frequency of which is set by the gases compressibility and is a window to the gases thermodynamic equation of state.

The breathing mode is the gas's lowest energy collective oscillation, and as long as scaling symmetry exists, it should always occur at a single frequency (exactly twice the harmonic confinement frequency).

The study confirmed that scaling symmetry is broken in the presence of strong interactions between particles, affecting the thermodynamic relation between the pressure and density.

This is called a quantum anomaly, which occurs when a symmetry that is present in a classical theory is broken in the corresponding quantum theory.

Measurements of breathing mode frequency also allowed researchers to map the evolution of thermodynamic equation of state between the 2D and 3D limits, showing that strict 2D behaviour is found in only a very limited region of parameter space.

The study Quantum Anomaly and 2D-3D Crossover in Strongly Interacting Fermi Gases was published today in Physical Review Letters .

Acknowledgements: The study was funded by the Australian Research Council under the Centres of Excellence, Future Fellowship and Discovery programs. Collaborators included FLEET CI Meera Parish and AI Jesper Levinson.

LOW-TEMPERATURE GASES AND FLEET

Within FLEET, Chris Vale studies topological phenomena in 2D gases of ultracold fermionic atoms, investigating cold atom implementations of Floquet topological superfluidity, nonequilibrium enhancements to the superconducting critical temperature and new forms of topological matter based on optically induced spin-orbit coupling in 2D atomic gases, in Research Theme 3.

FLEET's research theme 3 studies systems that are temporarily driven out of thermal equilibrium to investigate the qualitatively different physics displayed and new capabilities for dynamically controlling their behaviour.

Chris leads the study of quantum gases at Swinburne University of Technology. In these collections of atoms cooled to only 100 nanoKelvins above Absolute Zero, behaviours that are usually only found at the microscopic level become prominent at the macroscopic level.

The team's study of Fermi gases confined to 2D tests new paradigms for dissipationless transport in topological and non-equilibrium quantum matter synthesised from ultracold atoms.

Chris is one of almost a hundred researchers at FLEET, all motivated by one grand challenge: to reduce the energy used in information and communication technology (ICT), which already accounts for at least 8% of global electricity use, and is doubling every decade.

###

FLEET (the ARC Centre of Excellence in Future Low-Energy Electronics Technologies) will develop systems in which electricity flows with minimal resistance and therefore minimal wasted dissipation of energy, and devices in which this 'dissipationless' electric current can be switched on and off at will.

These devices will enable revolutionary new electronics and communications technologies with ultra-low energy consumption.

MORE INFORMATION

Physical Review Letters

10.1103/PhysRevLett.121.120402

Keywords

Article Information

Contact Information

Source

How to Cite This Article

APA:
ARC Centre of Excellence in Future Low-Energy Electronics Technologies. (2018, September 18). Quantum anomaly -- breaking a classical symmetry with ultracold atoms. Brightsurf News. https://www.brightsurf.com/news/14GW3MNL/quantum-anomaly-breaking-a-classical-symmetry-with-ultracold-atoms.html
MLA:
"Quantum anomaly -- breaking a classical symmetry with ultracold atoms." Brightsurf News, Sep. 18 2018, https://www.brightsurf.com/news/14GW3MNL/quantum-anomaly-breaking-a-classical-symmetry-with-ultracold-atoms.html.