Bluesky Facebook Reddit Email

Draw out of the predicted interatomic force

08.28.15 | Hiroshima University

Sony Alpha a7 IV (Body Only)

Sony Alpha a7 IV (Body Only) delivers reliable low-light performance and rugged build for astrophotography, lab documentation, and field expeditions.


Liquid Bi shows a peculiar dispersion of the acoustic mode, which is related to the Peierls distortion in the crystalline state. These results will provide valuable inspiration to researchers developing new materials in the nanotechnology field.

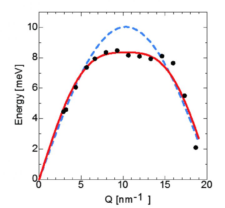
Studies of the atomic dynamics in liquid Bi have been revisited more recently. The previous inelastic neutron scattering (INS) results for liquid Bi showed inconsistency for the inelastic excitation of the acoustic mode. These results were also different from the ab initio molecular dynamics (AIMD) prediction that indicated that the peculiar atomic dynamics arose from an anisotropic interatomic force in this monatomic liquid [1].

Therefore, it is important to observe the inelastic excitation of the acoustic mode in liquid Bi using inelastic x-ray scattering (IXS).

Professor M. Inui at Hiroshima University and his collaborators at Kumamoto University, Keio University, SPring-8/JASRI, and the RIKEN SPring-8 Center measured the IXS on liquid Bi at SPring-8 [2]. This research group found that the dispersion curve of the excitation energy of the acoustic mode exhibits a flat region as a function of the momentum transfer.

The experiments conducted by Professor Inui et al. used a single-crystal sapphire cell of the Tamura type that was carefully machined to provide a 0.04-mm sample thickness.

It is said that only his research group can make full use of this "world-famous" cell, which was used to stably conduct an x-ray beam experiment under high temperatures.

Furthermore, this research group reported that the IXS experimental results for liquid Bi clearly show a distinct inelastic excitation of the acoustic mode. This resolves the previous disagreement in the literature. Those researchers said, "Consistent with ab initio calculations of liquid Bi[1], the dispersion curve was nearly flat from 7 to 15 nm [to the negative 1 power]."

They also mentioned, "A long-range force is needed to reproduce the flatness of the dispersion curve, and the long-range force has to strongly be related to a local structure consisting of shorter and longer bounds in the liquid."

This research group demonstrated a possible mechanism for the unusual dispersion of liquid Bi. Their results will greatly contribute to the development of nanotechnology.

###

Reference

[1] J. Souto et al., Phys. Rev. B 81, 134201 (2010)

[2] A.Q.R Baron et al., J. Phys. Chem. Solids , 61, 461 (2000).

Article information

[Journal]

[Journal]

Physical Review B

[Title]

Anomalous dispersion of the acoustic mode in liquid Bi

[Authors]

M. Inui, Y. Kajihara, S. Munejiri, S. Hosokawa, A. Chiba, K. Ohara, S. Tsutsui, and A. Q. R. Baron

[doi] http://dx.doi.org/10.1103/PhysRevB.92.054206

Keywords

Article Information

Contact Information

How to Cite This Article

APA:
Hiroshima University. (2015, August 28). Draw out of the predicted interatomic force. Brightsurf News. https://www.brightsurf.com/news/1EKMVN71/draw-out-of-the-predicted-interatomic-force.html
MLA:
"Draw out of the predicted interatomic force." Brightsurf News, Aug. 28 2015, https://www.brightsurf.com/news/1EKMVN71/draw-out-of-the-predicted-interatomic-force.html.