Bluesky Facebook Reddit Email

CDEX listens to the sound of cosmology from a laboratory deep underground

05.13.21 | Science China Press

CalDigit TS4 Thunderbolt 4 Dock

CalDigit TS4 Thunderbolt 4 Dock simplifies serious desks with 18 ports for high-speed storage, monitors, and instruments across Mac and PC setups.


Numerous compelling evidences from astroparticle physics and cosmology indicate that the major matter component in the Universe is dark matter, accounting for about 85% with the remaining 15% is the ordinary matter. Nevertheless, people still know little about the dark matter, including its mass and other properties. Many models predict dark matter particles could couple to ordinary particle at weak interaction level, so it is possible to capture the signal of dark matter particle in the direct detection experiment. The scientific goals of the China Dark matter Experiment (CDEX) are on direct detection of light dark matter and neutrino-less double beta decay with p-type point contact germanium (PPCGe) detectors at the China Jinping Underground Laboratory (CJPL). The measurable energy spectra induced by the elastic scattering between dark matter particles and target nucleons in CDEX detector system could give us the information of dark matter mass, spin and other properties.

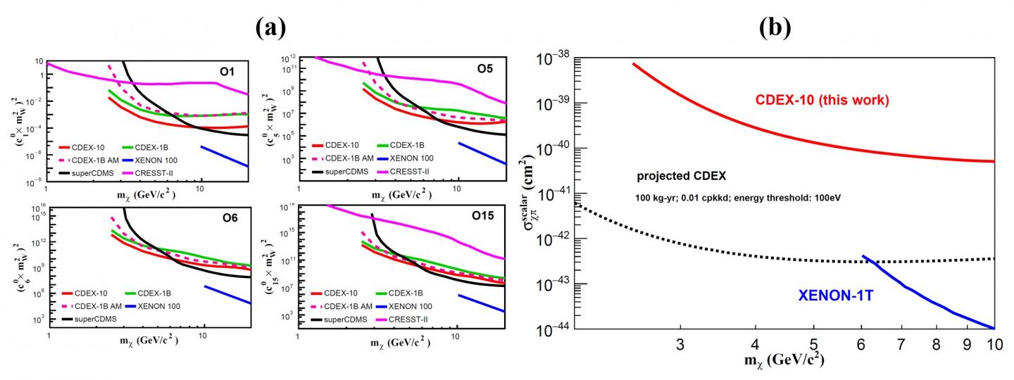
The analysis of the current dark matter experiments is usually model dependent, and many models beyond the standard model have predicted the existence of dark matter, such as super-symmetry model and extra-dimension model. Due to the variety of physics models, the constraints obtained from same experimental data cannot be applied directly to other models, which brings complications to physical interpretations. Cosmology observations have verified that the major part of dark matter is the non-relativistic cold dark matter, and as a result, the momentum transfer in the scattering process between dark matter particles and nucleons is only about hundreds of MeV, much lower than the electroweak scale (~250 GeV). It is therefore suitable to use effective field theory to analyze the interaction between dark matter and ordinary matter. Two alternative schemes have been proposed in recent years to study different possible interactions, namely non-relativistic effective field theory (NREFT) and chiral effective field theory (ChEFT). An effective theory contains all possible interactions allowed by given symmetric principles, so it can model-independently reduce the complicacy of analysis.

In the dark matter direct detection experiments, what are mostly focused on are the spin-independent (SI) and spin-dependent (SD) scattering analysis, while EFT can give more momentum-dependent or velocity-dependent interaction which are not taken into consideration usually. Benefiting from the low electrical noise of PCCGe, the analysis threshold of CDEX-1B and CDEX-10 both reach 160 eV, which can largely improve the detection sensitivity for light dark matter.

Based on the data set of CDEX-1B and CDEX-10, CDEX collaboration presents new limits for the couplings of WIMP-nucleon arising from NREFT and ChEFT. In the nonrelativistic effective field theory approach, they improve over the current bounds in the low mχ region. In the chiral effective field theory approach, they for the first time extended the limit on WIMP-pion coupling to the mχ< 6 GeV/c2 region.

Related results have been published online entitled "First experimental constraints on WIMP couplings in the effective field theory framework from CDEX" on Science China-Physics, Mechanics & Astronomy (Sci. China-Phys. Mech. Astron. 64, 281011 (2021))[1]. Prof. Y. F. Zhou from the Institute of Theoretical Physics, Chinese Academy of Sciences wrote a review article for this publication[2].

The operation and analysis of CDEX-1B and CDEX-10 are coming to the end, and the next generation of experiments CDEX-100/CDEX-1T are under preparation now. The lower background level and improvement of PPCGe performance can raise the sensitivity of direct detection experiment. While the next generation experiment of CDEX can discover dark matter remains unknown, but the mystery of dark matter will encourage more and more researchers to pursue its studies until the day when this profound mystery of the Universe will be solved.

###

See the article:

[1] Y. Wang et al., (CDEX Collaboration), First experimental constraints on WIMP couplings in the effective field theory framework from CDEX, Sci. China-Phys. Mech. Astron. 64, 281011 (2021), https://doi.org/10.1007/s11433-020-1666-8

[2] Y.-F. Zhou, Improved constraints on dark matter effective interactions from CDEX, Sci. China-Phys. Mech. Astron. 64, 2841031 (2021), https://doi.org/10.1007/s11433-021-1679-4

10.1007/s11433-020-1666-8

Keywords

Article Information

Contact Information

Qian Yue
Science China Press
yueq@tsinghua.edu.cn

How to Cite This Article

APA:
Science China Press. (2021, May 13). CDEX listens to the sound of cosmology from a laboratory deep underground. Brightsurf News. https://www.brightsurf.com/news/1ZZKOY51/cdex-listens-to-the-sound-of-cosmology-from-a-laboratory-deep-underground.html
MLA:
"CDEX listens to the sound of cosmology from a laboratory deep underground." Brightsurf News, May. 13 2021, https://www.brightsurf.com/news/1ZZKOY51/cdex-listens-to-the-sound-of-cosmology-from-a-laboratory-deep-underground.html.