Bluesky Facebook Reddit Email

Thermoelectric power generation at room temperature: Coming soon?

12.26.17 | Osaka University

Anker Laptop Power Bank 25,000mAh (Triple 100W USB-C)

Anker Laptop Power Bank 25,000mAh (Triple 100W USB-C) keeps Macs, tablets, and meters powered during extended observing runs and remote surveys.


Osaka - Thermoelectric (TE) materials could play a key role in future technologies. Although the applications of these remarkable compounds have long been explored, they are mostly limited to high-temperature devices. Recently, researchers at Osaka University, in collaboration with Hitachi, Ltd., developed a new TE material with an improved power factor at room temperature. Their study, published in Physica Status Solidi RRL , could help bring these materials out of the high-temperature niche and into the mainstream.

TE materials display the thermoelectric effect: apply heat on one side, and an electric current starts to flow. Conversely, run an external current through the device, and a temperature gradient forms; i.e., one side becomes hotter than the other. By interconverting heat and electricity, TE materials can be used as either power generators (given a heat source) or refrigerators (given a power supply).

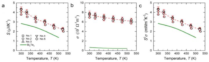
The ideal TE material combines high electrical conductivity, allowing the current to flow, with low thermal conductivity, which prevents the temperature gradient from evening out. The power generation performance mainly depends on the "power factor," which is proportional to both electrical conductivity and a term called the Seebeck coefficient.

"Unfortunately, most TE materials are often based on rare or toxic elements," according to study co-author Sora-at Tanusilp. "To address this, we combined silicon - which is common in TE materials - with ytterbium, to create ytterbium silicide [YbSi 2 ]. We chose ytterbium over other metals for several reasons. First, its compounds are good electrical conductors. Second, YbSi 2 is non-toxic. Moreover, this compound has a specific property called valence fluctuation that make it a good TE material at low temperatures."

The first advantage of YbSi 2 is that the Yb atoms occupy a mixture of valence states, both +2 and +3. This fluctuation, also known as Kondo resonance, increases the Seebeck coefficient with keeping metal-like high electrical conductivity at low temperature, and therefore the power factor.

Second, YbSi 2 has an unusual layered structure. While the Yb atoms occupy crystal planes similar to pure Yb metal, the Si atoms form hexagonal sheets between those planes, resembling the carbon sheets in graphite. This blocks the conduction of heat through the material, and therefore keeps the thermal conductivity down, preserving the temperature gradient. The researchers believe that heat conduction is further suppressed by controlling the structure in nanoscale and traces of impurities and other defects.

The result is an encouragingly high power factor of 2.2 mWm -1 K -2 at room temperature. This is competitive with conventional TE materials based on bismuth telluride. As corresponding author of this study Ken Kurosaki explains, "The use of Yb shows we can reconcile the conflicting needs of TE materials through carefully selecting the right metals. Room-temperature TEs, with moderate power, can be seen as complementary to the conventional high-temperature, high-power devices. This could help unlock the benefits of TE in everyday technology."

###

physica status solidi (RRL) - Rapid Research Letters

10.1002/pssr.201700372

Keywords

Article Information

Contact Information

Source

How to Cite This Article

APA:
Osaka University. (2017, December 26). Thermoelectric power generation at room temperature: Coming soon?. Brightsurf News. https://www.brightsurf.com/news/80VJZ7EL/thermoelectric-power-generation-at-room-temperature-coming-soon.html
MLA:
"Thermoelectric power generation at room temperature: Coming soon?." Brightsurf News, Dec. 26 2017, https://www.brightsurf.com/news/80VJZ7EL/thermoelectric-power-generation-at-room-temperature-coming-soon.html.