Bluesky Facebook Reddit Email

The paradox of the mysterious polarization of the sodium D1 line solved

08.18.21 | Instituto de Astrofísica de Canarias (IAC)

Sony Alpha a7 IV (Body Only)

Sony Alpha a7 IV (Body Only) delivers reliable low-light performance and rugged build for astrophotography, lab documentation, and field expeditions.


Twenty-five years ago, an enigmatic signal was discovered while analyzing the polarization of sunlight with a new instrument, the Zurich Imaging Polarimeter (ZIMPOL). This mysterious linear polarization signal appears at the 5896 Å wavelength of the D 1 line of neutral sodium where, according to the line’s quantum numbers, no linear polarization due to scattering processes should be present. This polarization signal was therefore totally unexpected, and its interpretation immediately opened an intense scientific debate. The mystery further increased two years later, when the journal Nature published a letter with an explanation, which required that the sublevels of the lower level of the D1 line are not equally populated. In that theoretical work, the enigmatic polarization signal of the D 1 line was reproduced remarkably well. However, the proposed explanation implied that the region of the solar atmosphere known as the chromosphere is completely unmagnetized, in apparent contradiction with established results, which instead indicate that the quiet regions (outside sunspots) of the solar chromosphere are permeated by magnetic fields in the gauss range. This opened a serious paradox, which has challenged solar physicists for many years, and even led some scientists to question the quantum theory of atom-photon interactions.

A first breakthrough towards the resolution of the paradox was achieved in 2013 at the IAC, when Luca Belluzzi and Javier Trujillo Bueno theoretically discovered a new mechanism through which linear polarization can be produced in the sodium D 1 line without the need of population imbalances in the lower level of the D1 line. However, that important step given by these researchers was for the idealized case of a solar atmosphere model without magnetic fields.

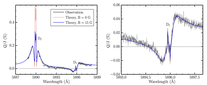
In an article published today by Physical Review Letters , the prestigious scientific journal of the American Physical Society, Ernest Alsina Ballester, Luca Belluzzi, and Javier Trujillo Bueno show the solution to this intriguing paradox, which has puzzled solar physicists since 1998. As shown in figure 1, this team of researchers has been able to reproduce the enigmatic observations of the D 1 line polarization, in the presence of magnetic fields in the gauss range. To achieve this result, it was necessary to carry out the most complete theoretical modeling of this polarization signal ever attempted, accounting for the joint action of very complex physical mechanisms. This required three years of work, carried out through a close cooperation between the Istituto Ricerche Solari (IRSOL) in Locarno-Monti (affiliated to the Università della Svizzera italiana) and the POLMAG group of the Instituto de Astrofísica de Canarias (IAC) in Tenerife (see http://research.iac.es/proyecto/polmag/ ).

This result has very important consequences. Linear polarization signals, like the one observed in the D 1 line of sodium, are extremely interesting because they encode unique information on the elusive magnetic fields present in the solar chromosphere. This key interface layer of the solar atmosphere, located between the underlying cooler photosphere and the overlying million-degree corona, is at the core of several enduring problems in solar physics, including the understanding and prediction of the eruptive phenomena that may strongly impact our technology-dependent society. The magnetic field is known to be the main driver of the spectacular dynamical activity of the solar chromosphere, but our empirical knowledge of its intensity and geometry is still largely unsatisfactory. The solution of the long-standing paradox of solar D 1 line polarization proves the validity of the present quantum theory of spectral line polarization, and opens up a new window to explore the magnetism of the solar atmosphere in the present new era of large-aperture solar telescopes.

This research has received funding from the Swiss National Science Foundation (SNSF) through Grant 200021-175997 and from the European Research Council (ERC) under the European Union’s Horizon 2020 research and innovation programme (Advanced Grant agreement No. 742265).

Physical Review Letters

10.1103/PhysRevLett.127.081101

Solving the paradox of the solar sodium D1 line polarization

17-Aug-2021

Keywords

Article Information

Contact Information

Carmen del Puerto Varela
prensa@iac.es

Source

How to Cite This Article

APA:
Instituto de Astrofísica de Canarias (IAC). (2021, August 18). The paradox of the mysterious polarization of the sodium D1 line solved. Brightsurf News. https://www.brightsurf.com/news/8Y4469YL/the-paradox-of-the-mysterious-polarization-of-the-sodium-d1-line-solved.html
MLA:
"The paradox of the mysterious polarization of the sodium D1 line solved." Brightsurf News, Aug. 18 2021, https://www.brightsurf.com/news/8Y4469YL/the-paradox-of-the-mysterious-polarization-of-the-sodium-d1-line-solved.html.