Bluesky Facebook Reddit Email

Unlocking the secrets of fast radio bursts: Scientists find more pieces to the puzzle of mysterious space signals

12.13.23 | SETI Institute

Davis Instruments Vantage Pro2 Weather Station

Davis Instruments Vantage Pro2 Weather Station offers research-grade local weather data for networked stations, campuses, and community observatories.


This work proves that new telescopes with unique capabilities, like the ATA, can provide a new angle on outstanding mysteries in FRB science.

December 13, 2023, Mountain View, CA – A team of SETI Institute scientists have unveiled new insights into a cosmic mystery known as Fast Radio Bursts (FRBs). The discovery and detailed observation of the repeating FRB 20220912A, made at the SETI Institute's refurbished Allen Telescope Array (ATA), shed light on the nature of these space signals.

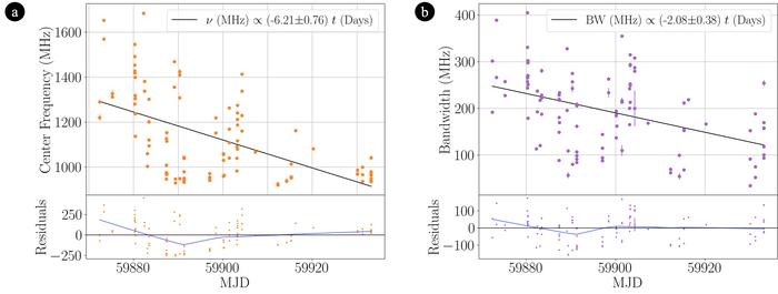
FRBs are brief, intense flashes of radio waves from deep space. While most happen only once, some "repeaters" send out signals more than once, adding to the intrigue of understanding their origin. Over 541 hours of observation, researchers detected 35 FRBs from repeater FRB 20220912A. The observations, made using the ATA, covered a wide radio frequency range and revealed fascinating patterns. All 35 FRBs were found in the lower part of the frequency spectrum, each with its unique energy signature.

"This work is exciting because it provides both confirmation of known FRB properties and the discovery of some new ones,” said the SETI Institute’s Dr. Sofia Sheikh, NSF MPS-Ascend Postdoctoral Fellow and lead author. “We're narrowing down the source of FRBs, for example, to extreme objects such as magnetars, but no existing model can explain all of the properties that have been observed so far. It has been wonderful to be part of the first FRB study done with the ATA -- this work proves that new telescopes with unique capabilities, like the ATA, can provide a new angle on outstanding mysteries in FRB science."

The detailed findings, recently published in the journal Monthly Notices of the Royal Astronomical Society (MNRAS), showcase the intriguing behaviors of FRBs. These mysterious signals exhibit downward frequency drifting, a connection between their bandwidth and center frequency, and changes in burst duration over time. The team also observed something that had never been reported before: there was a noticeable drop in the center frequency of bursts over the two months of observation, revealing an unexpected cosmic slide-whistle.

In addition, the researchers used these observations to predict a cut-off point for FRB 20220912A’s brightest bursts, indicating its contribution to the overall cosmic signal rate. In fact, this specific object was responsible for a few percent of all strong FRBs in the sky during these observations.

The study also investigated the time patterns of the burst sequences, looking for repetition within and between the FRBs. No clear pattern was found, highlighting the unpredictability of these celestial phenomena.

This work demonstrates the ATA’s important role in decoding the mysteries of FRBs. The ATA has the unique ability to record huge numbers of frequency channels at the same time, even if they’re widely-separated — for example, where some frequencies are very high and others very low. This allows for instantaneous checks when an FRB comes in, to constrain what the FRB is doing at high and low frequencies simultaneously. Ongoing upgrades promise even more capabilities, to see fainter FRBs at even more frequencies simultaneously, ensuring the ATA remains at the forefront of advancing our understanding of FRBs.

“It is exciting to see the ATA engaged in FRB research three years after its refurbishment started,” said Dr. Wael Farah, SETI Institute research scientist and co-author. “The ATA boasts unique capabilities that are being put at use in many research endeavors including fast transients.”

This milestone discovery marks a significant step forward in the ongoing quest to unravel the secrets of extreme objects in the universe. As scientists continue to explore the cosmos, each unique feature that we discover brings us closer to understanding the origins and nature of these captivating cosmic signals.

About the SETI Institute
Founded in 1984, the SETI Institute is a non-profit, multi-disciplinary research and education organization whose mission is to lead humanity's quest to understand the origins and prevalence of life and intelligence in the universe and share that knowledge with the world. Our research encompasses the physical and biological sciences and leverages data analytics, machine learning, and advanced signal detection technologies. The SETI Institute is a distinguished research partner for industry, academia, and government agencies, including NASA and the National Science Foundation.

Monthly Notices of the Royal Astronomical Society

10.48550/arXiv.2312.07756

Characterization of the Repeating FRB 20220912A with the Allen Telescope Array

19-Dec-2023

Keywords

Article Information

Contact Information

Rebecca McDonald
SETI Institute
rmcdonald@seti.org

Source

How to Cite This Article

APA:
SETI Institute. (2023, December 13). Unlocking the secrets of fast radio bursts: Scientists find more pieces to the puzzle of mysterious space signals. Brightsurf News. https://www.brightsurf.com/news/L3R46YZ8/unlocking-the-secrets-of-fast-radio-bursts-scientists-find-more-pieces-to-the-puzzle-of-mysterious-space-signals.html
MLA:
"Unlocking the secrets of fast radio bursts: Scientists find more pieces to the puzzle of mysterious space signals." Brightsurf News, Dec. 13 2023, https://www.brightsurf.com/news/L3R46YZ8/unlocking-the-secrets-of-fast-radio-bursts-scientists-find-more-pieces-to-the-puzzle-of-mysterious-space-signals.html.