Bluesky Facebook Reddit Email

Breakthrough in predicting chaotic outcomes in three-body systems

02.08.24 | The Hebrew University of Jerusalem

Apple AirPods Pro (2nd Generation, USB-C)

Apple AirPods Pro (2nd Generation, USB-C) provide clear calls and strong noise reduction for interviews, conferences, and noisy field environments.


A new study by the Hebrew University has unveiled a significant advancement in chaos theory, introducing a flux-based statistical theory that predicts chaotic outcomes in non-hierarchical three-body systems. This breakthrough holds practical implications for fields such as celestial mechanics, astrophysics, and molecular dynamics, offering a more efficient and precise approach to analyzing complex systems and enabling deeper exploration and understanding of chaotic phenomena.

[Hebrew University of Jerusalem] –A new study led by Prof. Barak Kol from the Racah Institute of Physics at the Hebrew University validates a novel approach to understanding the dynamics of non-hierarchical three-body systems. The newly introduced flux-based statistical theory demonstrated remarkable accuracy in predicting chaotic outcomes, paving the way for streamlined computations and deeper insights into complex systems.

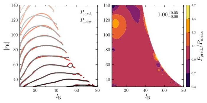
The research aimed to confirm a theory regarding the behavior of three-body systems, proposing that chaotic outcomes in such systems can be predicted using a formula involving a chaotic emissivity function and the asymptotic flux, a known function. To measure this chaotic emissivity function, researchers conducted simulations, tracking millions of scattering events to distinguish between regular and chaotic scattering. This process yielded a trivariate absorptivity function, providing a basis for testing the theory's predictions for chaotic outcomes. The results closely aligned with the actual distribution, affirming the theory's validity and presenting a more efficient [BK: consider “a more efficient” -> “an economized”] method for calculating chaotic outcome distributions in these systems.

Traditionally, the chaotic behavior of three-body systems has posed a formidable challenge for physicists to analyze and predict. However, the flux-based statistical theory offers a novel approach that simplifies this intricate problem.

At the heart of this theory lies the prediction that the chaotic outcome distribution can be expressed as the chaotic emissivity function multiplied by the asymptotic flux, a known function. This innovative concept opens doors to more efficient computations and a clearer understanding of chaotic dynamics.

To validate the theory, the research team conducted extensive simulations, meticulously measuring the chaotic emissivity function - or absorptivity - through millions of scattering events. By focusing on events until the distinction between regular and chaotic scattering could be determined, they were able to derive a trivariate absorptivity function.

Using this newfound data, the team successfully calculated the flux-based prediction for the chaotic outcome distribution across binary binding energy and angular momentum. Astonishingly, the results showed a high level of agreement with the measured distribution, providing detailed confirmation of the flux-based theory's accuracy and effectiveness.

Prof. Kol commented, "The three-body problem represents one of the oldest and most formidable puzzles in the realm of physics. In 2021, I authored an article presenting a novel theory aimed at providing a statistical solution. This approach challenged the foundational assumptions of preceding theories, introducing the concept of flux in the phase space and earning the title of the flux-based statistical theory. In this collaborative endeavor, we rigorously scrutinize and question the flux-based statistical theory through an extensive series of computer simulations. The validation process showcases an impressive 6% accuracy across the entire two-dimensional space of variables examined. This exhaustive research establishes that the flux-based theory stands as the most precise statistical framework available for deciphering this intricate system. Indeed, it marks a significant stride forward in attaining precision and dependability in our comprehension of the three-body problem."

This breakthrough not only marks a significant milestone in chaos theory but also promises practical implications for various fields. A few examples include:

Celestial Mechanics : Understanding these dynamics can enhance our ability to statistically predict and model celestial motions accurately.

Astrophysics : Can contribute to our understanding of astrophysical phenomena, such as interactions between celestial bodies, the evolution of planetary systems, and the generation of gravitational waves.

The recent article is a culmination of a line of five publications. Among them, a previous article [linked below] presented novel variables to reduce the formulation of the problem. In these variables, the 9 variables that describe the positions of three bodies are replaced by an equivalent three-dimensional space in the shape of a joint of three pipes. This space describes the geometry of the triangle defined by the three bodies and hence it is known as geometry space . It should be supplemented by the rotary motion of the instantaneous place defined by the three bodies. The motion in geometry space is formulated in terms of a electric-like force that describes the Newtonian gravitational forces, and a magnetic-like force that describes the Coriolis force in the rotating frame.

In summary, the foundational knowledge gained from such studies can have wide-ranging implications in fields that deal with complex dynamic systems, from astronomy to materials science and beyond.

Celestial Mechanics and Dynamical Astronomy

10.1007/s10569-023-10174-z

Computational simulation/modeling

Not applicable

Measurement of three-body chaotic absorptivity predicts chaotic outcome distribution

2-Feb-2024

Keywords

Article Information

Contact Information

Danae Marx
The Hebrew University of Jerusalem
danaemc@savion.huji.ac.il

Source

How to Cite This Article

APA:
The Hebrew University of Jerusalem. (2024, February 8). Breakthrough in predicting chaotic outcomes in three-body systems. Brightsurf News. https://www.brightsurf.com/news/LDEYQR08/breakthrough-in-predicting-chaotic-outcomes-in-three-body-systems.html
MLA:
"Breakthrough in predicting chaotic outcomes in three-body systems." Brightsurf News, Feb. 8 2024, https://www.brightsurf.com/news/LDEYQR08/breakthrough-in-predicting-chaotic-outcomes-in-three-body-systems.html.