Bluesky Facebook Reddit Email

Machine listening: Making speech recognition systems more inclusive

04.30.24 | American Institute of Physics

Celestron NexStar 8SE Computerized Telescope

Celestron NexStar 8SE Computerized Telescope combines portable Schmidt-Cassegrain optics with GoTo pointing for outreach nights and field campaigns.


WASHINGTON, April 30, 2024 – Interactions with voice technology, such as Amazon’s Alexa, Apple’s Siri, and Google Assistant, can make life easier by increasing efficiency and productivity. However, errors in generating and understanding speech during interactions are common. When using these devices, speakers often style-shift their speech from their normal patterns into a louder and slower register, called technology-directed speech.

Research on technology-directed speech typically focuses on mainstream varieties of U.S. English without considering speaker groups that are more consistently misunderstood by technology. In JASA Express Letters, published on behalf of the Acoustical Society of America by AIP Publishing, researchers from Google Research, the University of California, Davis, and Stanford University wanted to address this gap.

One group commonly misunderstood by voice technology are individuals who speak African American English, or AAE. Since the rate of automatic speech recognition errors can be higher for AAE speakers, downstream effects of linguistic discrimination in technology may result.

“Across all automatic speech recognition systems, four out of every ten words spoken by Black men were being transcribed incorrectly,” said co-author Zion Mengesha. “This affects fairness for African American English speakers in every institution using voice technology, including health care and employment.”

“We saw an opportunity to better understand this problem by talking to Black users and understanding their emotional, behavioral, and linguistic responses when engaging with voice technology,” said co-author Courtney Heldreth.

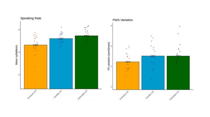
The team designed an experiment to test how AAE speakers adapt their speech when imagining talking to a voice assistant, compared to talking to a friend, family member, or stranger. The study tested familiar human, unfamiliar human, and voice assistant-directed speech conditions by comparing speech rate and pitch variation. Study participants included 19 adults identifying as Black or African American who had experienced issues with voice technology. Each participant asked a series of questions to a voice assistant. The same questions were repeated as if speaking to a familiar person and, again, to a stranger. Each question was recorded for a total of 153 recordings.

Analysis of the recordings showed that the speakers exhibited two consistent adjustments when they were talking to voice technology compared to talking to another person: a slower rate of speech with less pitch variation (more monotone speech).

“These findings suggest that people have mental models of how to talk to technology,” said co-author Michelle Cohn. “A set ‘mode’ that they engage to be better understood, in light of disparities in speech recognition systems.”

There are other groups misunderstood by voice technology, such as second-language speakers. The researchers hope to expand the language varieties explored in human-computer interaction experiments and address barriers in technology so that it can support everyone who wants to use it.

###

The article “African American English speakers’ pitch variation and rate adjustments for imagined technological and human addressees” is authored by Michelle Cohn, Zion Mengesha, Michal Lahav, and Courtney Heldreth. The article will appear in JASA Express Letters on April 30, 2024 (DOI: 10.1121/10.0025484). After that date, it can be accessed at https://doi.org/10.1121/10.0025484 .

ABOUT THE JOURNAL

JASA Express Letters is a gold open-access journal devoted to the rapid and open dissemination of important new research results and technical discussion in all fields of acoustics. It serves physical scientists, life scientists, engineers, psychologists, physiologists, architects, musicians, and speech communication specialists who wish to quickly report the results of their acoustical research in letter-sized contributions. See https://asa.scitation.org/journal/jel .

ABOUT ACOUSTICAL SOCIETY OF AMERICA

The Acoustical Society of America (ASA) is the premier international scientific society in acoustics devoted to the science and technology of sound. Its 7,000 members worldwide represent a broad spectrum of the study of acoustics. ASA publications include The Journal of the Acoustical Society of America (the world’s leading journal on acoustics), JASA Express Letters, Proceedings of Meetings on Acoustics, Acoustics Today magazine, books, and standards on acoustics. The society also holds two major scientific meetings each year. See https://acousticalsociety.org/ .

JASA Express Letters

10.1121/10.0025484

African American English speakers’ pitch variation and rate adjustments for imagined technological and human addressees

30-Apr-2024

Keywords

Article Information

Contact Information

Wendy Beatty
American Institute of Physics
media@aip.org

How to Cite This Article

APA:
American Institute of Physics. (2024, April 30). Machine listening: Making speech recognition systems more inclusive. Brightsurf News. https://www.brightsurf.com/news/LKNRG2NL/machine-listening-making-speech-recognition-systems-more-inclusive.html
MLA:
"Machine listening: Making speech recognition systems more inclusive." Brightsurf News, Apr. 30 2024, https://www.brightsurf.com/news/LKNRG2NL/machine-listening-making-speech-recognition-systems-more-inclusive.html.