Bluesky Facebook Reddit Email

On quantification of the growth of compressible mixing layer

05.22.14 | Science China Press

SAMSUNG T9 Portable SSD 2TB

SAMSUNG T9 Portable SSD 2TB transfers large imagery and model outputs quickly between field laptops, lab workstations, and secure archives.


CML has been a research topic for more than five decades, due to its wide applications in propulsion design. Mixing in CML is controlled by the compressibility effects of velocity and density variations over the mixing layer, and quantified by the growth rate of CML. However, the lack of understanding of various definitions of mixing thicknesses has yielded scatter in analyzing experimental data. Prof. SHE ZhenSu and his colleagues at the State Key Laboratory for Turbulence and Complex Systems, Peking University investigated the growth of compressible mixing layer by introducing an SED theory. Applying the method to experimental data, they provided a solid evidence for the nonlinear growth in CML. Their work, entitled "Experimental evidence for non-linear growth in compressible mixing layer," was published in SCIENCE CHINA Physics, Mechanics & Astronomy . 2014, Vol 57(5).

The study of fluid mixing enhancement at high Mach numbers is of critical value to engineering applications such as the design of scramjet/ramjet engines of high-speed vehicles. The impediment to a perfect design is the lack of understanding of compressible turbulence. One found that an increase of compressibility tends to stabilize turbulent flows and reduce the growth rate of CML. Passive effects of compressibility are obvious – chemical reactions are delayed, and the mixing length has to be extended. Reducing extra weight and size of the engine is always a challenge for engine design.

In order to understand the underlying physics of CML and find effective control strategies to enhance the mixing in supersonic flow, researchers take the planar compressible mixing layer as a simplified and conceptualized model in their experimental or numerical studies. It produces the mixing layer by introducing two parallel super-/supersonic or super-/subsonic streams. This experimental configuration allows for a clear visualization and detailed measurement.

Previous studies of CML have shown that the flow undergoes at least three stages while convecting downstream — (a) formation of Brown-Roshko vortices (a type of coherent structures) being transitioned from the parallel flow, (b) formation of secondary vortices and the cascade of the coherent vortices, and (c) the well-developed turbulent shear flow, though other structures have been observed when applying different conditions. A wealth of results have enriched our knowledge of the compressible shear flows, but how to analyze the massive experimental and numerical data, and to objectively and reliably deduce physical measures remains an open question.

She's team has presented a new framework called SED, which aims at using a set of relevant statistical quantities (called order functions) for a quantitative description of the ensemble means. In this work, the SED approach yields a set of gray-level ensemble quantities for a turbulent compressible mixing layer, when analyzing experimental images of the planar laser Mie scattering (PLMS) technique, at two convective Mach numbers, Mc=0.11 (M1=2.0, M2=1.5) and 0.47 (M1=2.0, M2=0.6), which were obtained by seeding ethanol into the low- or the high-speed stream by an atomizing spray nozzle, with ethanol droplets less than 30 μm in diameter. The images show clearly a set of transitional coherent structures (CS) of a Brown-Roshko (BR) type or by a Kelvin-Helmholtz instability. The eruption and shifting of the mixing layer were observed at Mc = 0.11. Three-dimensionality of the flow is visible at Mc = 0.47. Hence, a CML exhibits typical features of supersonic shear flow.

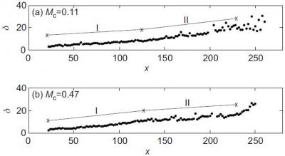
The ensemble of the transverse PLMS gray-level was analyzed in the SED framework. The gray-level images are shown to exhibit a similarity, which is the base for developing the GLEAM method. The GLEAM is able to determine the thickness and growth rate of CML as a function of the streamwise location, as illustrated in Figure 1. Nonlinear growth of the mixing layer is shown to exist in the development of this CML.

The growth rate normalized by the incompressible mixing layer at the same density and velocity ratio was used to compare the results at different flow conditions. Four situations are identified: for Mc = 0.11, Stage I corresponds to the situation with coherent structures generated with the Kelvin-Helmholtz instability with a uniform scale, while vortex stretching and distortion are significantly more severe in Stage II. For Mc = 0.47, Stage I contains no discernible coherent structures, due to the generation of relatively small-scale structures at this high convective Mach number; but at stage II, large-scale motions become dominant, hence one observes a smaller growth rate in this stage. Thus, it is interesting that a lower growth rate is associated with large-scale vortices at both Mc.

In addition, the effects of incoming boundary layers are observed by studying the relation between the scale of the boundary layers and the growth rate. The study presents that, besides compressibility effects, the inflow condition also accounts for the magnitude of the growth rate. The results show that the GLEAM is effective in quantifying the thickness of CML, and may be applied to the investigation of the ensemble property of other compressible shear flows.

See the article:

Wang T J, Chen J, Shi X T, et al. Experimental evidence for non-linear growth in compressible mixing layer. Sci China-Phys Mech Astron , 2014, 57: 963–970, doi:10.1007/s11433-014-5432-2

http://phys.scichina.com:8083/sciGe/EN/abstract/abstract508794.shtml

http://link.springer.com/article/10.1007%2Fs11433-014-5432-2

Science China Press Co., Ltd. (SCP) is a scientific journal publishing company of the Chinese Academy of Sciences (CAS). For 60 years, SCP takes its mission to present to the world the best achievements by Chinese scientists on various fields of natural sciences researches.

http://www.scichina.com/

Keywords

Contact Information

CHEN Jun
Science China Press
she@pku.edu.cn

How to Cite This Article

APA:
Science China Press. (2014, May 22). On quantification of the growth of compressible mixing layer. Brightsurf News. https://www.brightsurf.com/news/LP2N4PNL/on-quantification-of-the-growth-of-compressible-mixing-layer.html
MLA:
"On quantification of the growth of compressible mixing layer." Brightsurf News, May. 22 2014, https://www.brightsurf.com/news/LP2N4PNL/on-quantification-of-the-growth-of-compressible-mixing-layer.html.