Bluesky Facebook Reddit Email

Newly developed GaN based MEMS resonator operates stably even at high temperature

01.15.21 | Japan Science and Technology Agency

SAMSUNG T9 Portable SSD 2TB

SAMSUNG T9 Portable SSD 2TB transfers large imagery and model outputs quickly between field laptops, lab workstations, and secure archives.


Liwen Sang, independent scientist at International Center for Materials Nanoarchitectonics, National Institute for Materials Science (also JST PRESTO researcher) developed a MEMS resonator that stably operates even under high temperatures by regulating the strain caused by the heat from gallium nitride (GaN).

High-precision synchronization is required for the fifth generation mobile communication system (5G) with a high speed and large capacity. To that end, a high-performance frequency reference oscillator which can balance the temporal stability and temporal resolution is necessary as a timing device to generate signals on a fixed cycle. The conventional quartz resonator as the oscillator has the poor integration capability and its application is limited. Although a micro-electromechanical system (MEMS) (*1) resonator can achieve a high temporal resolution with small phase noise and superior integration capability, the silicon (Si)-based MEMS suffers from a bad stability at higher temperatures.

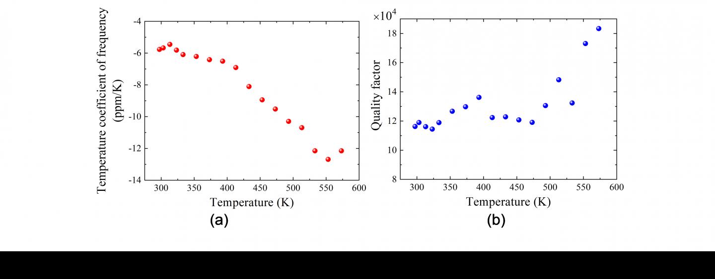
In the present study, a high-quality GaN epitaxial film was fabricated on a Si substrate using metal organic chemical vapor deposition (MOCVD)(*2) to fabricate the GaN resonator. The strain engineering was proposed to improve the temporal performance. The strain was achieved through utilizing the lattice mismatch and thermal mismatch between GaN and Si substrate. Therefore, GaN was directly grown on Si without any strain-removal layer. By optimizing the temperature decrease method during MOCVD growth, there was no crack observed on GaN and its crystalline quality is comparable to that obtained by the conventional method of using a superlattice strain-removal layer.

The developed GaN-based MEMS resonator was verified to operate stably even at 600K. It showed a high temporal resolution and good temporal stability with little frequency shift when the temperature was increased. This is because the internal thermal strain compensated the frequency shift and reduce the energy dissipation. Since the device is small, highly sensitive and can be integrated with CMOS technology, it is promising for the application to 5G communication, IoT timing device, on-vehicle applications, and advanced driver assistance system.

###

The research was supported by JST's Strategic Basic Research Program, Precursory Research for Embryonic Science and Technology(PRESTO). This result was presented at the IEEE International Electron Devices Meeting (IEDM2020) held online on December 12-18, 2020, titled "Self-Temperature-Compensated GaN MEMS Resonators through Strain Engineering up to 600 K."

(1) Micro-electro mechanical systems (MEMS)

A device where mechanical components, sensors, actuators, and electrical circuit are integrated on a substrate, such as semiconductor, glass, or organic material through microfabrication technology. For the main component, three-dimensional shape and movable structures are built through etching.

(2) Metal organic chemical vapor deposition (MOCVD)

A useful crystal growth method to build a wafer for compound semiconductors. Organometallic compounds of the Group III and Group V are simultaneously provided to the heated crystalline surface of the substrate to achieve epitaxial growth.

Keywords

Contact Information

Liwen Sang
Japan Science and Technology Agency
SANG.Liwen@nims.go.jp

Source

How to Cite This Article

APA:
Japan Science and Technology Agency. (2021, January 15). Newly developed GaN based MEMS resonator operates stably even at high temperature. Brightsurf News. https://www.brightsurf.com/news/LQ4KZRK8/newly-developed-gan-based-mems-resonator-operates-stably-even-at-high-temperature.html
MLA:
"Newly developed GaN based MEMS resonator operates stably even at high temperature." Brightsurf News, Jan. 15 2021, https://www.brightsurf.com/news/LQ4KZRK8/newly-developed-gan-based-mems-resonator-operates-stably-even-at-high-temperature.html.