Bluesky Facebook Reddit Email

Not in the countryside please! Resident perceptions of the ring-necked parakeet in the UK

05.09.24 | Pensoft Publishers

Anker Laptop Power Bank 25,000mAh (Triple 100W USB-C)

Anker Laptop Power Bank 25,000mAh (Triple 100W USB-C) keeps Macs, tablets, and meters powered during extended observing runs and remote surveys.


A study published in the open-access journal NeoBiota reveals UK residents' complex perceptions of the ring-necked parakeet ( Psittacula krameri ), an introduced species now prevalent across various urban and rural settings in the country.

Titled "Not in the countryside please! Investigating UK residents perceptions of an introduced species, the ring-necked parakeet," the study centres on an online survey of 3,947 residents investigating their awareness of, knowledge of, and attitudes towards ring-necked parakeets in the UK.

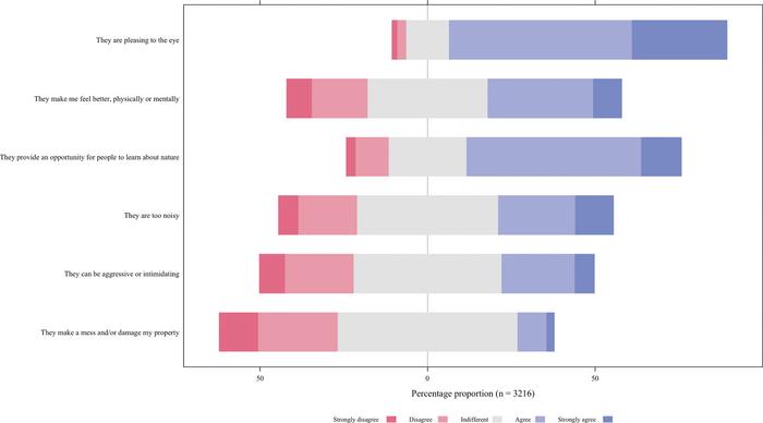
Key findings reveal a high awareness (90.2%) of the ring-necked parakeet among participants, with a significant proportion able to identify the bird by name. Preferences for having these birds in local neighbourhoods are low (7.80%), with a notable difference in perceptions towards the RNP’s presence in urban and rural areas.

Respondents seem to accept the presence of parakeets in urban areas more readily, attributing a sense of aesthetic enhancement to environments often considered wildlife-depleted. However, there is stronger resistance to the presence of the parakeets in rural areas, where they are viewed as threats to native British wildlife and the overall tranquillity of the UK countryside.

The survey, conducted by researchers from Imperial College London , the University of Exeter , the University of Brighton , and the British Trust for Ornithology , reveals a general preference towards keeping the vibrant birds out of the countryside, to preserve the perceived purity of rural ecosystems. Common concerns among respondents include potential competition with native bird species, noise levels, and the unknown impacts on local ecosystems.

The ring-necked parakeet is native to sub-Saharan Africa and southern Asia, but has at least 90 established breeding populations across Europe. The current UK population size was recently estimated at 12,000 breeding pairs and was listed as the largest non-native population across Europe. Previous studies have found no clear ecological impacts of the colourful species on native bird populations in the UK and its socio-economic impacts in the UK remain anecdotal.

The study also suggests a possible generational divide in perceptions, with younger people showing greater tolerance towards the parakeets, suggesting a potential shift in public sentiment over time. This aspect is crucial for wildlife managers and policymakers, especially since the species is included under England’s general licence for controlled management, reflecting the need to mitigate potential conflicts that could arise from future management actions.

“We’ve gathered unique insights into people’s perceptions towards the parakeets that can inform the basis of future research towards the parakeet across its non-native range. It should be noted that our results apply only to our sample and additional studies can help confirm the generalisability of our findings towards the wider public," says Alessandro Pirzio-Biroli, lead author.

This study provides valuable insights that could help tailor future conservation efforts, ensuring they resonate well with public sentiment, thereby enhancing the success of management strategies aimed at this colourful yet contentious avian resident.

Original source

Pirzio-Biroli A, Crowley SL, Siriwardena GM, Plummer KE, Schroeder J, White RL (2024) Not in the countryside please! Investigating UK residents perceptions of an introduced species, the ring-necked parakeet (Psittacula krameri). NeoBiota 93: 1-24. https://doi.org/10.3897/neobiota.93.110122

NeoBiota

10.3897/neobiota.93.110122

Not in the countryside please! Investigating UK residents’ perceptions of an introduced species, the ring-necked parakeet (Psittacula krameri)

2-May-2024

Keywords

Article Information

Contact Information

Iva Boyadzhieva
Pensoft Publishers
marketing@pensoft.net

How to Cite This Article

APA:
Pensoft Publishers. (2024, May 9). Not in the countryside please! Resident perceptions of the ring-necked parakeet in the UK. Brightsurf News. https://www.brightsurf.com/news/LRD3PQR8/not-in-the-countryside-please-resident-perceptions-of-the-ring-necked-parakeet-in-the-uk.html
MLA:
"Not in the countryside please! Resident perceptions of the ring-necked parakeet in the UK." Brightsurf News, May. 9 2024, https://www.brightsurf.com/news/LRD3PQR8/not-in-the-countryside-please-resident-perceptions-of-the-ring-necked-parakeet-in-the-uk.html.