Bluesky Facebook Reddit Email

Chestnut tannin: A sustainable bioresource for diverse applications

10.05.24 | Journal of Bioresources and Bioproducts

Celestron NexStar 8SE Computerized Telescope

Celestron NexStar 8SE Computerized Telescope combines portable Schmidt-Cassegrain optics with GoTo pointing for outreach nights and field campaigns.


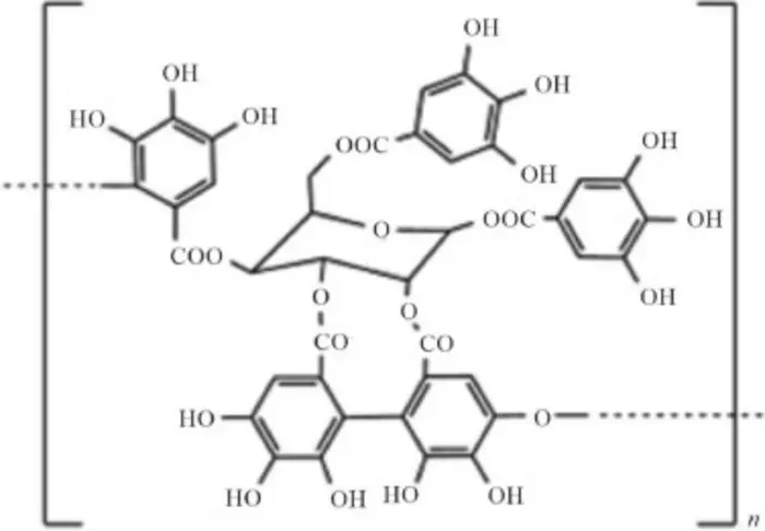
The bioeconomy is witnessing a revival of interest in chestnut tannin, a compound extracted from chestnut tree bark or wood, thanks to its versatile applications and environmentally friendly nature. A recent review article led by Rosaria Ciriminna and colleagues delves into the detailed analysis of chestnut tannin's production, chemistry, and its emerging roles in different sectors.

Historically used in leather tanning, chestnut tannin offers excellent binding capabilities and resistance to microbial degradation. It has been a preferred choice for producing luxury leathers due to its light resistance and clear color. However, with the advent of synthetic alternatives, the demand for chestnut tannin experienced a decline. This has prompted researchers to explore new applications, leading to discoveries in animal nutrition and agriculture.

The review outlines the chestnut tannin extraction process, which has seen significant technological advancements, including counter-extraction and membrane-based nanofiltration. These innovations have improved the quality and purity of the extracted tannin, contributing to its high price and positioning in the market.

Research in the 21st century has opened new avenues for chestnut tannin, with studies showing its potential in animal feed as a replacement for antibiotics and in agriculture as a biostimulant and biofertilizer. The compound's high biological activity is attributed to its ortho-phenolic groups, which inhibit extracellular hydrolytic enzymes and bind metal ions.

The study also highlights the growing research interest in chestnut tannin, with a significant increase in the number of publications since the early 2000s. This research has focused on exploring the compound's potential in pharmaceutical and nutraceutical applications, in addition to its use in agriculture and animal nutrition.

Economically, the chestnut tannin market is experiencing significant growth, with new extraction plants being established to meet the increasing demand. The global production is primarily concentrated in Europe, with countries like Italy, Slovenia, France, Portugal, and Spain leading the way.

In conclusion, chestnut tannin stands out as a promising bioresource with a broad scope of activities and potential for new applications in various sectors. As research continues to uncover its capabilities, chestnut tannin is well on its way to becoming a key player in the bioeconomy.

See the article:

DOI

https://doi.org/10.1016/j.jobab.2024.05.001

Original Source URL

https://www.sciencedirect.com/science/article/pii/S2369969824000367

Journal

Journal of Bioresources and Bioproducts

10.1016/j.jobab.2024.05.001

Literature review

Not applicable

Chestnut tannin: New use, research and bioeconomy

13-Aug-2024

Keywords

Article Information

Contact Information

Huicong Cao
Journal of Bioresources and Bioproducts
zhaochuanyu0320@gmail.com

Source

How to Cite This Article

APA:
Journal of Bioresources and Bioproducts. (2024, October 5). Chestnut tannin: A sustainable bioresource for diverse applications. Brightsurf News. https://www.brightsurf.com/news/LVD9M95L/chestnut-tannin-a-sustainable-bioresource-for-diverse-applications.html
MLA:
"Chestnut tannin: A sustainable bioresource for diverse applications." Brightsurf News, Oct. 5 2024, https://www.brightsurf.com/news/LVD9M95L/chestnut-tannin-a-sustainable-bioresource-for-diverse-applications.html.