Bluesky Facebook Reddit Email

Method for accurate extraction of a target profile developed at Beijing Institute of Technology

11.29.12 | Science China Press

Sky & Telescope Pocket Sky Atlas, 2nd Edition

Sky & Telescope Pocket Sky Atlas, 2nd Edition is a durable star atlas for planning sessions, identifying targets, and teaching celestial navigation.


The detection and recognition of an object with small RCS, such as a stealth target, is the most difficult problem to solve for the modern radar system. Professor Hu Cheng and his group at Radar Research Lab, Beijing Institute of Technology set out to tackle this problem. After seven years of innovative research, they have developed a series of methods to detect, track and recognize some targets with small RCS. In particular, they proposed a novel imaging method based on the principle of shadow inverse synthetic aperture radar (SISAR) to extract the target profile accurately in FSR. From the extracted target profile, the target type, such as a cruise missile, unmanned aerial vehicle or car, can be effectively deduced. Their work, entitled "An Accurate SISAR Imaging Method of Ground Moving Target in Forward Scatter Radar", was published in SCIENCE CHINA Information Sciences , 2012(10).

FSR is special bistatic radar with a bistatic angle larger than 140 degrees. Different from traditional radar, FSR is based on diffraction rather than reflection, and has a number of peculiarities such as a significantly enhanced target RCS; robust anti-stealth capability that is unaffected by any radar-absorbing material coating; relatively simple hardware and a low power budget; and the absence of range resolution, resulting in a long coherent integration time and the received signals having little fluctuation.

SISAR imaging technology produces images with the target's shadow; i.e., the forward-scatter signal serves to obtain the middle line and the height difference of the target's profile. The imaging results are similar to the target's profile, and thus can be used for classification directly. What's more, because the target's shadow is independent of any absorbing material coatings, SISAR imaging technology has advantages in recognizing stealth targets.

We mainly studied a SISAR imaging algorithm for detecting ground moving targets with a typical ground FSR system, which is the same system that is used to detect stealth cruise missiles. The system can be used in a wireless micro-sensor network for traffic control or situational awareness on the battlefield. In this system, micro-sensors are distributed into observation areas by planes or vehicles. The micro-sensors are equipped with omnidirectional antennas with heights within tens of centimeters, and the reflection of the ground surface should thus be taken into consideration. Therefore, the effect of ground reflection, large diffraction angles and the target's moving direction should be considered. First, a forward-scattering signal model for the ground moving target is built on the basis of the Fresnel–Kirchhoff approximation, the multipath signal model and the approximation of the high-order phase. Second, the classic SISAR imaging algorithm is modified with phase compensation, and an accurate complex profile function (CPF) is obtained. Last, an algorithm to obtain the height difference and middle line of targets under multipath interference is proposed.

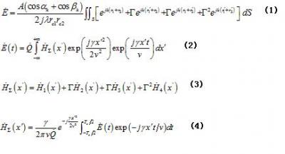
When taking into account the effect of ground reflection, large diffraction angles and the target moving direction with the Fresnel–Kirchhoff approximation, multipath signal model and high-order phase approximation method, the signal can be written as (1) where and are bistatic distances, while and are mirror bistatic distances, and is the complex ground reflection coefficient. The model above works well under the condition of large diffraction angles and a target trajectory with skew. Additionally, the model includes the effect of multipath interference, which makes it more suitable for the ground FSR system.

Using the multipath model and approximation method of range and diffraction angle, we obtain the signal model given as eq. (1), and substituting target motion equations into eq. (1), we obtain the time-domain forward-scattering signal as(2) where(3) Here are the CPFs of the individual paths.

The forward-scattering signal model describes the relationship between the CPF and forward-scattering signal. Thus, the CPF can be obtained according to eq. (4), and the target contour and middle line can thus be determined: (4) where is the observation time, and and γ are target motion compensation parameters.

To evaluate the validity of the proposed algorithm, numerous simulations are conducted and the results are analyzed. The target model is shown in Figure 1 (a). The model size is as shown in Figure 1 (b). Figure 1 (c) shows the model contour.

Figure 2 presents imaging results obtained with the proposed algorithm under the condition of different surface reflection coefficients.

In Figure 2, the dashed-dotted line shows the real contour, the solid line shows the CPF amplitude, the dotted line shows the imaged target contour and the dashed line shows the imaged middle line. When the surface is coarse, the amplitude distortion is relatively small, and as a result, the imaged contour is close to the true contour; thus, the target classification and recognition can be conducted with the features of the middle line and height difference (target profile).

See the article: Hu C, Li X L, Long T, et al. An accurate SISAR imaging method of ground moving target in forward scatter radar. Sci China Inf Sci , 2012(10), doi: 10.1007/s11432-012-4584-9

Keywords

Contact Information

HU Cheng
Science China Press
cchchb@163.com

How to Cite This Article

APA:
Science China Press. (2012, November 29). Method for accurate extraction of a target profile developed at Beijing Institute of Technology. Brightsurf News. https://www.brightsurf.com/news/LVW03DX8/method-for-accurate-extraction-of-a-target-profile-developed-at-beijing-institute-of-technology.html
MLA:
"Method for accurate extraction of a target profile developed at Beijing Institute of Technology." Brightsurf News, Nov. 29 2012, https://www.brightsurf.com/news/LVW03DX8/method-for-accurate-extraction-of-a-target-profile-developed-at-beijing-institute-of-technology.html.