Bluesky Facebook Reddit Email

Current noises of Majorana fermions

07.20.18 | Science China Press

SAMSUNG T9 Portable SSD 2TB

SAMSUNG T9 Portable SSD 2TB transfers large imagery and model outputs quickly between field laptops, lab workstations, and secure archives.


Majorana fermion is a kind of particle whose antiparticle is itself. In condensed matter physics, zero-energy Majorana fermions obey non-abelian statistics, and can be used in fault-tolerant topological quantum computation. They thus have attracted extensive studies. However, as Majorana fermions carry no electronic charge, the experimental detection of them is still a challenge. A recent current noise study provides a direct method for the detection of these novel particles.

The paper titled "Current noise in a topological Josephson junction" was published in SCIENCE CHINA Physics, Mechanics & Astronomy , whose corresponding authors are Prof. Hua Jiang from Soochow University and Prof. X. C. Xie from Peking University. Using non-equilibrium Green's function method, the authors analysis the current across a topological Josephson junction and related current noises, revealing the relation between the existence of Majorana fermions and the non-equilibrium current noises.

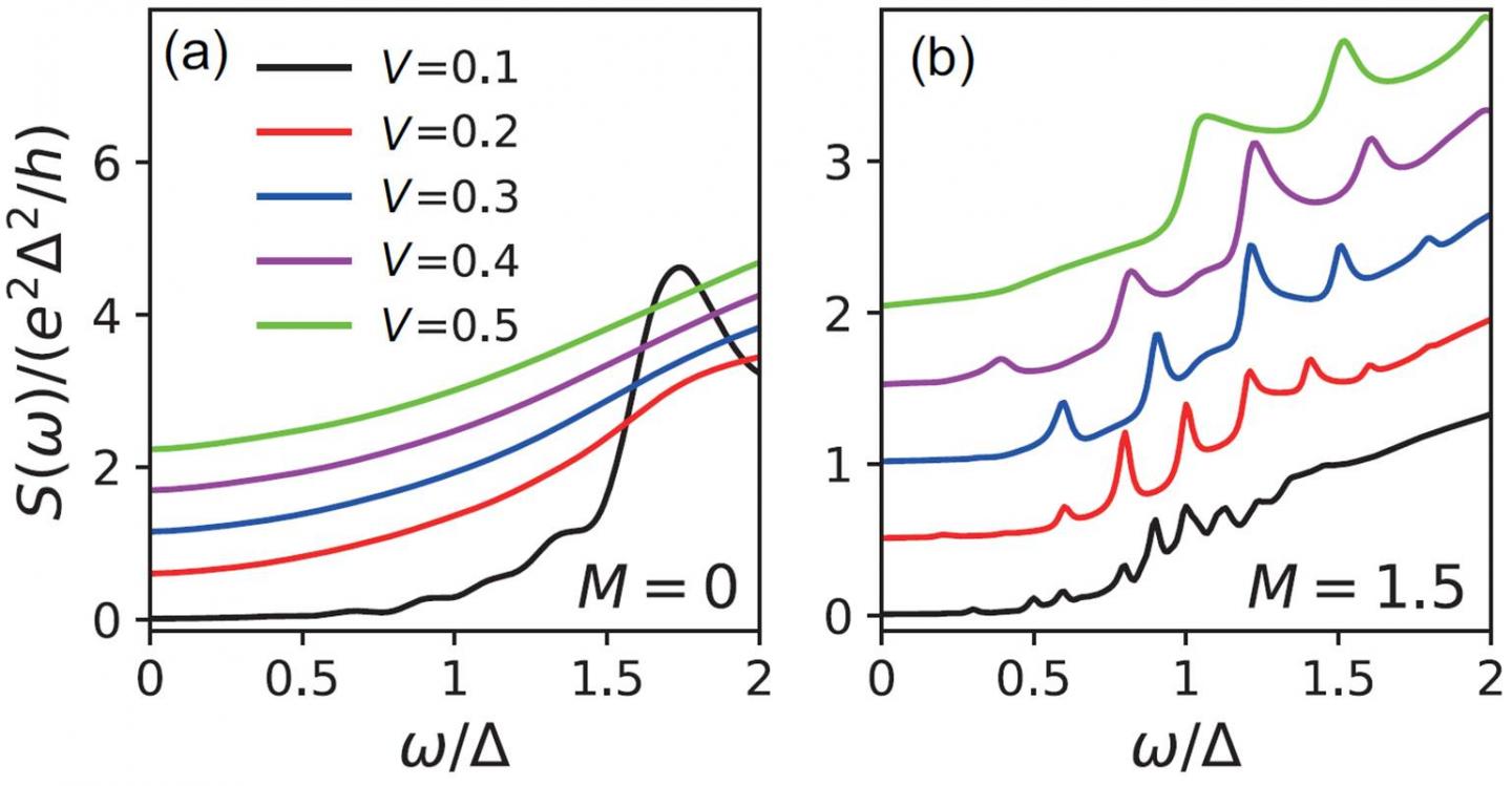
It has been predicted that, a topological Josephson junction can host two zero-energy Majorana bound states at its interfaces if the time reversal symmetry is broken. The existence of them gives rise to two 4π periodic energy-phase relations which correspond to different parities and intersect with each other. Such energy-phase relations lead to a fractional Josephson effect of the same periodicity. Nevertheless, in realistic system, the infinitesimal energy gap opened by the finite size effect will restore the 2π periodicity. In non-equilibrium, the Majorana bound states may overcome this energy gap under a bias V. Theoretical work predicted that the current noise exhibits a peak at ω=eV due to the coupling between Majorana bound states and the continuum. However, these Majorana bound states could also couple the continuum after a multiple Andreev reflections process happened at the interfaces. This will result in some novel phenomena.

Based on the non-equilibrium Green function method, researchers studied the effect of the multiple Andreev reflections both in the absence and in the presence of a DC bias voltage. They show that the equilibrium noise and the equilibrium current exhibit the same 2π periodicity as those in con-ventional junctions due to the finite-size effect. However, the dips of the equilibrium noise indicate the signature of the fractional Josephson effect. On the other hand, the multiple Andreev reflections induced peaks of the finite frequency non-equilibrium noise that appeared at ω = neV provides a proof for the experimental detection of these Majorana bound states.

###

This work is supported by the National Key Basic Research Program of China (Grant Nos. 2015CB921102, and 2014CB920901), the National Key Research and Development Program of China (Grant No. 2017YFA0303301), and the National Natural Science Foundation of China (Grant Nos. 11574007,11574245, 11534001, and 11474085).

See the article:

Yu-Hang Li, Jie Liu, JunTao Song, Hua Jiang, Qing-Feng Sun, and XinCheng Xie, Current noises in a topological Josephson junction, Sci. China-Phys. Mech. Astron. 61, 097411 (2018), https://doi.org/10.1007/s11433-018-9232-5

http://engine.scichina.com/publisher/scp/journal/SCPMA/61/9/10.1007/s11433-018-9232-5?slug=full%20text https://link.springer.com/article/10.1007/s11433-018-9232-5

10.1007/s11433-018-9232-5

Keywords

Article Information

Contact Information

Bei Yan
Science China Press
yanbei@scichina.org

How to Cite This Article

APA:
Science China Press. (2018, July 20). Current noises of Majorana fermions. Brightsurf News. https://www.brightsurf.com/news/LVWN7PN8/current-noises-of-majorana-fermions.html
MLA:
"Current noises of Majorana fermions." Brightsurf News, Jul. 20 2018, https://www.brightsurf.com/news/LVWN7PN8/current-noises-of-majorana-fermions.html.