Bluesky Facebook Reddit Email

New insights into exotic nuclei creation

09.28.24 | Nuclear Science and Techniques

Garmin GPSMAP 67i with inReach

Garmin GPSMAP 67i with inReach provides rugged GNSS navigation, satellite messaging, and SOS for backcountry geology and climate field teams.


Researchers have introduced a model based on the Langevin equation that offers new insights into the formation of exotic nuclei. This development could enhance the ability to produce rare isotopes that are valuable for various applications in science and medicine.

Advancing Understanding of Nuclei Formation

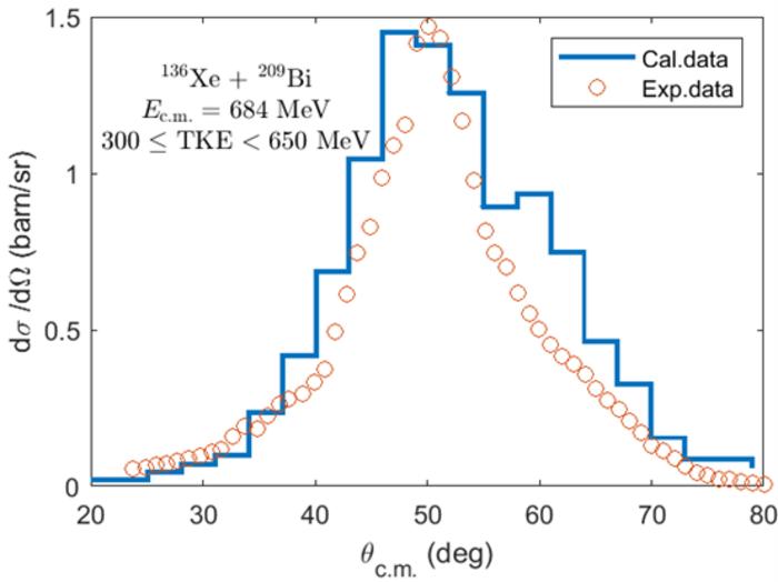
A research team led by Professor Feng-Shou Zhang has developed and applied this model to study multinucleon transfer (MNT) processes in heavy-ion collisions. The model provides a more precise understanding of energy dissipation during heavy-ion collisions, which is important for predicting nuclear reaction outcomes. Simulations of nuclear reactions, such as 40 Ar + 232 Th, 136 Xe + 238 U, and 136 Xe + 209 Bi, have shown that the model's predictions of cross-sections and angular distributions are in good agreement with experimental results.

Simplifying Complex Nuclear Reactions

Modeling nuclear reactions, particularly those involved in producing exotic nuclei, is challenging due to their complexity. Conventional methods like projectile fragmentation and fusion-evaporation have limitations, particularly in synthesizing new transuranium and superheavy elements. This model addresses these challenges by simplifying the process, reducing the number of adjustable parameters, and focusing on key physical processes. It successfully simulates energy and scattering angle distributions, offering insights into deep inelastic and quasi-fission processes.

Potential Applications in Nuclear Physics

The improved accuracy of MNT reaction predictions provided by this model could facilitate the production of isotopes that are difficult to generate using other methods. These isotopes are valuable for scientific research and medical applications, such as diagnostics and treatments. According to Prof. Zhang, the goal is to keep the model comprehensive yet practical for experimental use.

This development represents a step forward in nuclear physics, contributing to the understanding of exotic nuclei production through MNT reactions. Further refinement of the model may enhance its utility in guiding future research and improving rare isotope production processes.

This research was conducted in collaboration with Beijing Normal University, Beijing Academy of Science and Technology, and the National Laboratory of Heavy Ion Accelerator of Lanzhou. The complete study is accessible via DOI: 10.1007/s41365-024-01557-4.

Nuclear Science and Techniques

10.1007/s41365-024-01557-4

Computational simulation/modeling

Not applicable

Investigation of multinucleon transfer processes in the Langevin equation model

27-Sep-2024

Keywords

Article Information

Contact Information

Lihua Sun
Nuclear Science and Techniques (NST)
sunlihua@sinap.ac.cn

Source

How to Cite This Article

APA:
Nuclear Science and Techniques. (2024, September 28). New insights into exotic nuclei creation. Brightsurf News. https://www.brightsurf.com/news/147X5MN1/new-insights-into-exotic-nuclei-creation.html
MLA:
"New insights into exotic nuclei creation." Brightsurf News, Sep. 28 2024, https://www.brightsurf.com/news/147X5MN1/new-insights-into-exotic-nuclei-creation.html.