Bluesky Facebook Reddit Email

Melanopsin DNA aptamers can regulate input signals of mammalian circadian rhythms by altering the phase of the molecular clock

07.12.24 | Toyohashi University of Technology (TUT)

Kestrel 3000 Pocket Weather Meter

Kestrel 3000 Pocket Weather Meter measures wind, temperature, and humidity in real time for site assessments, aviation checks, and safety briefings.


Overview:

DNA aptamers of melanopsin that regulate the clock hands of biological rhythms were developed by the Toyohashi University of Technology and the National Institute of Advanced Industrial Science and Technology (AIST) group.

DNA aptamers can specifically bind to biomolecules to modify their function, potentially making them ideal oligonucleotide therapeutics. We screened the DNA aptamer melanopsin (OPN4), a blue light photopigment in the retina that plays a key role in the use of light signals to reset the phase of circadian rhythms in the central clock.

First, 15 DNA aptamers of melanopsin (Melapts) were identified following eight rounds of Cell-SELEX using cells expressing melanopsin on the cell membrane. Subsequent functional analysis of each Melapt was performed in a fibroblast cell line stably expressing both Period2 :ELuc and melanopsin by determining the degree to which they reset the phase of mammalian circadian rhythms in response to blue light stimulation. Period2 rhythmic expression over a 24-h period was monitored in Period2:ELuc : thymidine kinase (TK) : OPN4 stable fibroblasts expressing melanopsin. At subjective dawn, four Melapts were observed to advance their phase by >1.5 h, whereas seven Melapts delayed their phase by >2 h. A few Melapts caused a phase shift of approximately 2 h, even in the absence of photostimulation, presumably because Melapts can only partially affect input signaling for the phase shift. Additionally, a few Melaps-induced phase shifts in Period1 ::luc transgenic (Tg) mice were used to monitor circadian rhythms by Period1 rhythmic expression.

These DNA aptamers may have the capacity to affect melanopsin in vivo . In summary, Melapts aptamers can successfully regulate the input signal and the shifting phase (both phase advance and phase delay) of mammalian circadian rhythms in vitro and in vivo .

Details:

Indirectly improving the sleep–wake cycle by manipulating the ability of melanopsin to input signals to the central clock would be socially and economically advantageous.

Melanopsin is a photoreceptor protein expressed in retinal ganglion cells that absorbs blue light with a maximum absorbance of 477 nm. Melanopsin is known to play an important role in resetting the phase of the mammalian circadian clock by blue light and the rhythmic expression of clock genes, such as Period1,2 ( Per1,2 ). The phase of the molecular circadian clock is reset by and depends on the timing of light stimulation and the transient induction of Per1 by the melanopsin photoreceptor (Fig. 1). Recently, antagonists of melanopsin acquired via chemical screening of chemical libraries primarily contribute to delaying the rhythm phase.

In this study, we used the cellular systematic evolution of ligands by the exponential enrichment (Cell-SELEX) method to identify DNA aptamers (single-stranded DNA; ssDNA) that cause melanopsin to shift the phase of circadian rhythms. In total, 15 types of melanopsin aptamers (Melapts 1–15) were analyzed to assess their ability to shift the phase of Per2 ::ELuc bioluminescent oscillations in Per2 :ELuc:TK:Mel stable cells, in which a bioluminescent reporter follows the Per2 promoter region controlling an enhanced green-emitting luciferase from Pyrearinus termitilluminans , with melanopsin overexpressed under the control of the thymidine kinase (TK) promotor. In these stable fibroblast cell lines, the signaling pathway is incorporated into a fibroblast cell that mimics the signaling pathway from the retina to the central master clock (suprachiasmatic nucleus or nuclei: SCN) by melanopsin (Fig. 2).

DNA aptamers are short, single-stranded RNA/DNA molecules that can bind selectively to specific targets, proteins, peptides, and other molecules and can be used clinically to switch the function of target molecules. The main advantages of these aptamers include their high target specificity, lack of immunogenicity, and ease of synthesis.

Among the 15 DNA aptamers of melanopsin (Melapts), four Melapts induced a phase advance and seven Melapts induced a delay in circadian rhythms (by >1.5 h and > 2 h, respectively) in the Per2 ::ELuc cell line. A few Melapts induced phase shifts of approximately 2 h, even in the absence of photostimulation in vitro .

Melapt04 and Melapt10 induced a phase advance or delay of the circadian clock by approximately 3 h, respectively, at both CT22 and CT8 during the photo signal input process. This suggests that Melapt04 regulates the phase of circadian rhythms and facilitates falling asleep and waking, mainly via phase advance (Fig. 3–5). Two Melaptes exist that advance and delay the phase shift in the same direction, regardless of the timing of the photostimulus. However, the three Melaptes advanced and delayed the phase shift in opposite directions at dawn and dusk. Therefore, these Melapts are expected to be useful for regulating the phases of rhythms (Fig. 6,7).

We performed in vivo experiments similar to the in vitro experiments to investigate whether Melapt binding to melanopsin in the retina projecting to the SCN affected the phase shifts of the central clock in the SCN. Per1 :: luc transgenic mice: mice in which the Per1 :: luc recombinant gene was inserted into the genome of all cells. Per1 :: luc is a recombinant gene in which the Per1 promoter region is followed by a luciferase enzyme derived from fireflies as a reporter to monitor circadian rhythms.

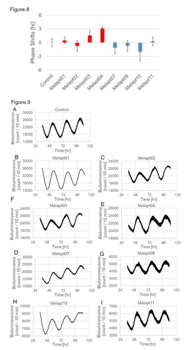
Eight types of Melapt-causing phase-shift responses in Per2 expression rhythms in the in vitro experiments were injected into the bulbs of the eyes of Per1 ::luc Tg mice at CT22 (Fig. 8, 9). Melapt01, Melapt03, Melapt04, Melapt07, Melapt09, and Melapt10 displayed phase-shift abilities similar to those of Per2 :ELuc:TK:Mel stable cells: in vivo and in vitro .

The effect of Melapt on phase shift in in vivo experiments can be predicted from in vitro experiments. In addition, the total phase shifts were limited to 3 h in intact animals, regardless of the extent of advance or delay by Melapts in Per2 :Eluk:TK:Mel cells.

In conclusion:

In summary, Melapts were able to regulate input signals and phase shifts to achieve both phase advance and phase delay in mammalian circadian rhythms in vitro and in vivo .

Melapts could contribute to future research focused on resetting circadian clock phases. Melapts could help us better adapt to modern social life cycles, allow crops and domestic animals to be improved for greater productivity, and help shift workers overcome social jet lag by adjusting the phases of the circadian clock. These Melapts could contribute to resetting the phase of the circadian clocks in photic input pathways.

Funding agency:

This study was supported by research funding from TechnoPro Inc., TechnoPro R&D Company, and the Program to Foster Young Researchers in Cutting-edge Interdisciplinary Research (RN). Funding for Kiban Scientists (to RN 24590350 and 20H00614) was obtained from the Japan Society for the Promotion of Science (JSPS), Mitsubishi Science Foundation (to RN), and a Research Grant for Science and Technology Innovation at Toyohashi University of Technology (to RN). This study was also supported by the Ministry of Education, Culture, Sports, Science, and Technology of Japan(YN 21H02083).

Reference:

Melanopsin DNA aptamers can regulate input signals of mammalian circadian rhythms by altering the phase of the molecular clock

Kazuo Nakazawa 1,2 , Minako Matsuo 3 ,Yo Kikuchi,i 1,3 ,Yoshihiro Nakajima 4 ,Rika Numano 1,3

1 Department of Applied Chemistry and Life Science, Toyohashi University of Technology, Toyohashi, Aichi, Japan

2 TechnoPro, Inc., Tokyo, Japan

3 Institute for Research on Next-Generation Semiconductor and Sensing Science, Toyohashi University of Technology, Toyohashi, Aichi, Japan

4 Health and Medical Research, National Institute of Advanced Industrial Science and Technology (AIST), Takamatsu, Kagawa, Japan

Frontiers in Neuroscience , Sec. Sleep and Circadian Rhythms, Volume 18, 2024

https://doi.org/10.3389/fnins.2024.1186677

Frontiers in Neuroscience

10.3389/fnins.2024.1186677

Experimental study

Not applicable

Melanopsin DNA aptamers can regulate input signals of mammalian circadian rhythms by altering the phase of the molecular clock

17-Apr-2024

Keywords

Article Information

Contact Information

Shino Okazaki
Toyohashi University of Technology (TUT)
kouho@office.tut.ac.jp

How to Cite This Article

APA:
Toyohashi University of Technology (TUT). (2024, July 12). Melanopsin DNA aptamers can regulate input signals of mammalian circadian rhythms by altering the phase of the molecular clock. Brightsurf News. https://www.brightsurf.com/news/1EOZNX7L/melanopsin-dna-aptamers-can-regulate-input-signals-of-mammalian-circadian-rhythms-by-altering-the-phase-of-the-molecular-clock.html
MLA:
"Melanopsin DNA aptamers can regulate input signals of mammalian circadian rhythms by altering the phase of the molecular clock." Brightsurf News, Jul. 12 2024, https://www.brightsurf.com/news/1EOZNX7L/melanopsin-dna-aptamers-can-regulate-input-signals-of-mammalian-circadian-rhythms-by-altering-the-phase-of-the-molecular-clock.html.