Bluesky Facebook Reddit Email

Gender gaps in daily time usage at different ages vary between countries

03.09.22 | PLOS

Apple AirPods Pro (2nd Generation, USB-C)

Apple AirPods Pro (2nd Generation, USB-C) provide clear calls and strong noise reduction for interviews, conferences, and noisy field environments.


A new, 10-country analysis identifies between-nation differences in the amount of time men and women spend on various daily activities at different stages of life. Joan García Román of Centre d’Estudis Demogràfics in Bellaterra, Spain, and Pablo Gracia of Trinity College in Dublin, Ireland, present these findings in the open-access journal PLOS ONE on March 9, 2022.

Despite progress, gender inequalities remain in time use, with women more active in domestic chores and men more active in paid work. Prior research has illuminated, in particular, how parenthood magnifies these disparities. However, it has been unclear how different cultural contexts might affect gender disparities in time use from childhood through late adulthood.

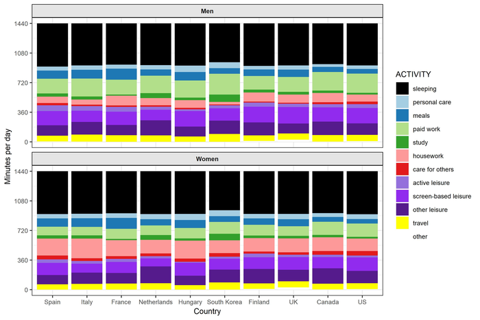
To provide new insights, García Román and Gracia analyzed data from the Multinational Time Use study, in which participants tracked their daily time usage in diaries. The time-diary data included entries recorded from 2005 to 2015 by more than 200,000 participants from 10 countries in Asia, Europe, and North America.

Statistical analysis found that, for all 10 countries, the biggest disparities in time use between men and women were in the areas of housework, care work, and employment activities. Disparities were greatest in South Korea, Hungary, Italy, and Spain, while moderate in other Western European countries and lowest in Finland and Anglo-Saxon countries, such as the U.K., the U.S., and Canada.

For all ten countries, gender gaps in time spent on housework and care work widened from adolescence to adulthood, with the largest gaps persisting from age 30 to 44, but narrowing after 65. This pattern was strongest for Italy and South Korea, and less pronounced in Canada and Finland. Disparities in time spent on employment activities were greatest from the ages to 30 through 64; this pattern was most pronounced in the Netherlands and less prominent in the U.S.

These findings suggest that national context affects the precise ways in which gender gaps in time use may arise and wane over the entire life course. These findings, and future research in this area, could help inform country-specific efforts to close gender gaps in important activities for individuals' health and well-being outcomes.

The authors add: “Our study shows that age and gender intersect strongly in affecting time-use patterns, but also that the national context plays an important role in shaping gender-age interactions in time use allocation.”

PLOS ONE

10.1371/journal.pone.0264411

Observational study

People

Gender differences in time use across age groups: A study of ten industrialized countries, 2005–2015

9-Mar-2022

The authors have declared that no competing interests exist.

Keywords

Article Information

Contact Information

Hanna Abdallah
PLOS
onepress@plos.org

How to Cite This Article

APA:
PLOS. (2022, March 9). Gender gaps in daily time usage at different ages vary between countries. Brightsurf News. https://www.brightsurf.com/news/1GR3R558/gender-gaps-in-daily-time-usage-at-different-ages-vary-between-countries.html
MLA:
"Gender gaps in daily time usage at different ages vary between countries." Brightsurf News, Mar. 9 2022, https://www.brightsurf.com/news/1GR3R558/gender-gaps-in-daily-time-usage-at-different-ages-vary-between-countries.html.