Bluesky Facebook Reddit Email

Retinal microvasculature is a potential biomarker for acute mountain sickness

04.07.23 | Science China Press

Creality K1 Max 3D Printer

Creality K1 Max 3D Printer rapidly prototypes brackets, adapters, and fixtures for instruments and classroom demonstrations at large build volume.


This study is led by Dr.Ningli Wang and Dr.Yuan Xie (Beijing Tongren Hospital, Capital Medical University), they provide evidence that retinal microvasculature is a potential biomarker for cerebral microvasculature changes and acute mountain sickness(AMS) development during risk assessment of individuals at high altitudes.

Since the retinal and cerebral vasculature share many morphological and physiological characteristics, direct evaluation of the more accessible retinal vasculature should theoretically provide insights into the cerebral circulation. Therefore, the role of retinal imaging to predict central nervous system diseases has received much attention from scholars.

China has the most extensive plateau in the world, millions of people now travel to high altitudes each year to ski, trek, climb, and work. Increased cerebral blood flow resulting from altered capillary level autoregulation at high altitudes leads to capillary overperfusion and then vasogenic cerebral edema, which is the leading hypothesis of acute mountain sickness (AMS) .The best intervention point is before the occurrence of irreversible brain lesions. However, due to technical limitations, cerebral vascular detection is currently limited to large vessels, and capillaries are hard to visualize in vivo.

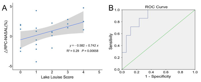
This study aimed to investigate ocular microcirculation alterations, the only visualized capillaries in the central neural system (CNS), during early-stage AMS using a hypobaric chamber. They applied an well-documented AMS diagnostic criteria- Lake Louise Questionnaire Score (LL-S) . Meanwhile, they comprehensively analyzed anatomical changes in the eye in early-stage AMS (3 ≤Lake Louise Questionnaire Score < 5) .Since the retinal and cerebral vasculature share many morphological and physiological characteristics ,they used optical coherence tomography angiography (OCTA) to quantitatively measure retinal capillary blood flow density in the macular region and optic disc of the retina. Because retinal nerve fiber layers (RNFL) and white matter are both composed of axons , they applied optical coherence tomography (OCT) to assess RNFL variation. Furthermore, the area of the optic nerve subarachnoid space (ONSASA) was found to be significantly correlated with intracranial pressure in the previous study, thus they used ultrasound to measure ONSASA to indirectly assess cerebrospinal fluid pressure changes. The results suggested that after high altitude simulation, the RNFL thickened in some locations and ONSASA enlarged. OCTA showed increased retinal radial peripapillary capillary (RPC) flow density, particularly on the nasal side of the nerve. The AMS-positive group had the largest increases in RPC flow density in the nasal sector. Among multiple ocular changes, OCTA increase in RPC flow density was associated with simulated early-stage AMS symptoms. The changes in RPC flow density to predict early-stage AMS outcomes showed an powerful diagnostic power.

The findings further confirm that increased capillary perfusion pressure is an important mechanism for early AMS pathogenesis, and that OCTA measurement of retinal capillary blood flow density, especially peripapillary blood flow density, may be a potential biological indicator for predicting the development of AMS. This result lays the foundation for the role of fundus imaging in the diagnosis and management of cerebrovascular diseases.

See the article:

Xie, Y., Yang, D., Huang, A.S., Yang, Y., Han, Y., Sun, Y., Cao, K., Wang, H., Wu, S., Zhu, Q., et al. (2023). Retinal microvasculature is a potential biomarker for acute mountain sickness. Sci China Life Sci 66, https://doi.org/10.1007/s11427-022-2271-x

Science China Life Sciences

10.1007/s11427-022-2271-x

Keywords

Article Information

Contact Information

Bei Yan
Science China Press
yanbei@scichina.org

How to Cite This Article

APA:
Science China Press. (2023, April 7). Retinal microvasculature is a potential biomarker for acute mountain sickness. Brightsurf News. https://www.brightsurf.com/news/1GRZK2W8/retinal-microvasculature-is-a-potential-biomarker-for-acute-mountain-sickness.html
MLA:
"Retinal microvasculature is a potential biomarker for acute mountain sickness." Brightsurf News, Apr. 7 2023, https://www.brightsurf.com/news/1GRZK2W8/retinal-microvasculature-is-a-potential-biomarker-for-acute-mountain-sickness.html.