Bluesky Facebook Reddit Email

Efficient, stable, and eco-friendly thermoelectric material discovered

07.12.22 | Hokkaido University

Anker Laptop Power Bank 25,000mAh (Triple 100W USB-C)

Anker Laptop Power Bank 25,000mAh (Triple 100W USB-C) keeps Macs, tablets, and meters powered during extended observing runs and remote surveys.


Waste heat is a very promising source of energy conservation and reuse, by means of converting this heat into electricity—a process called thermoelectric conversion. Commercially available thermoelectric conversion devices are synthesized using rare metals. While these are quite efficient, they are expensive and, in the majority of cases, utilize toxic materials. Both these factors have led to these converters being of limited use. One of the alternatives are oxide-based thermoelectric materials, but the primary drawback these suffer from is a lack of evidence of their stability at high temperatures.

A team led by Professor Hiromichi Ohta at the Research Institute for Electronic Science at Hokkaido University has synthesised a barium cobalt oxide thermoelectric converter that is reproducibly stable and efficient at temperatures as high as 600°C. Their findings were published in the journal ACS Applied Materials & Interfaces .

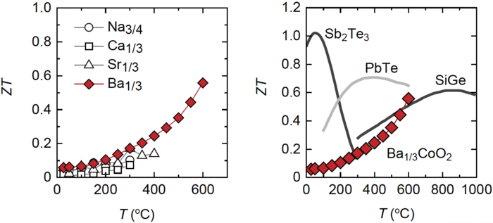
Thermoelectric conversion is driven by the Seebeck effect: when there is a temperature difference across a conducting material, an electric current is generated. However, efficiency of thermoelectric conversion is dependent on a figure called the thermoelectric figure of merit ZT . Historically, oxide-based converters had a low ZT , but recent research has revealed many candidates that have high ZT , but their stability at high temperatures was not well documented.

Hiromichi Ohta’s group has been working on layered cobalt oxide films for over two decades. In this study, the team sought to examine the thermal and chemical stability of these films, as well as measure their ZT values, at high temperatures. They tested cobalt oxide films layered with sodium, calcium, strontium or barium, analysing their structure, resistivity, and thermal conductivity.

They found that, of the four variants, the barium cobalt oxide layered film retained its stability in terms of structural integrity and electrical resistivity at temperatures as high as 600°C. In comparison, the sodium- and calcium cobalt oxide films were only stable until 350°C, and the strontium cobalt oxide film was stable up to 450°C. The ZT of the barium cobalt oxide film increased with the temperature, reaching ~0.55 at 600°C, comparable to some commercially available thermoelectric converters.

“Our study has shown that barium cobalt oxide films would be excellent candidates for high-temperature thermoelectric conversion devices,” said Hiromichi Ohta. “ In addition, they are environment friendly, giving potential for wide deployment.”

ACS Applied Materials & Interfaces

10.1021/acsami.2c08555

Experimental study

Not applicable

Ba1/3CoO2: A thermoelectric oxide showing a reliable ZT of ~0.55 at 600 °C in air

12-Jul-2022

Keywords

Article Information

Contact Information

Sohail Keegan Pinto
Hokkaido University
en-press@general.hokudai.ac.jp

Source

How to Cite This Article

APA:
Hokkaido University. (2022, July 12). Efficient, stable, and eco-friendly thermoelectric material discovered. Brightsurf News. https://www.brightsurf.com/news/1WRN07ZL/efficient-stable-and-eco-friendly-thermoelectric-material-discovered.html
MLA:
"Efficient, stable, and eco-friendly thermoelectric material discovered." Brightsurf News, Jul. 12 2022, https://www.brightsurf.com/news/1WRN07ZL/efficient-stable-and-eco-friendly-thermoelectric-material-discovered.html.