Bluesky Facebook Reddit Email

Majority of late preterm infants suffer from morbidities resulting in hospital stay

05.05.18 | Pediatric Academic Societies

Sony Alpha a7 IV (Body Only)

Sony Alpha a7 IV (Body Only) delivers reliable low-light performance and rugged build for astrophotography, lab documentation, and field expeditions.


TORONTO, May 5, 2018 - A new study found the majority of late preterm infants (LPTs) suffer from morbidities resulting in hospital stay. Although factors that result in LPT births do contribute to morbidity, physiological immaturity plays an important role in producing poorer outcomes. The research will be presented during the Pediatric Academic Societies (PAS) 2018 Meeting in Toronto.

LPTs constitute 70 percent of the preterm population. Common neonatal morbidities are higher in this group compared to term infants. Although this increased risk is attributed to physiological immaturity, recent studies indicate that immaturity itself may not be the sole cause of morbidity as all premature infants experience this risk, but suffer different outcomes. Some studies demonstrate that the risk of morbidities is determined by the causes of preterm delivery with immaturity acting as modulator. The relative contribution of these factors is unclear. The objective of this study was to assess the role of indications of delivery in LPT in determination of common neonatal morbidities that result in hospital stay.

The study was conducted as a retrospective cohort study of LPTs born in a single tertiary care centre between April 2014 and February 2016. Researchers categorized indications of birth as threatened preterm labor (TPTL), preterm premature rupture of membrane (PPROM) and medically indicated deliveries, which included maternal and fetal pathologies. Risk of hypoglycemia, hyperbilirubinemia, use of CPAP, and apnea of prematurity in LPT were estimated by calculating unadjusted and adjusted for gestational age risk ratios using multiple regression analysis with PPROM as a reference category.

PPROM was responsible for 38.4 percent of deliveries, TPTL in 22.8 percent, and 39.1 percent were delivered due to various obstetric and fetal indications with pre-eclampsia and intrauterine growth restriction being the most common reason for medically indicated preterm deliveries. All morbidities were significant across gestational age, with increased risk with decreased gestational age, except hypoglycemia where the incident was highest at 36 weeks (66.7 percent), versus 28.5 percent at 35 weeks, and 22.7 percent at 34 weeks (p value=0.039).

###

Dr. Melissa Lorenzo will present the abstract, "Morbidity Risk Among Late Term Preterm Infants: Immaturity vs Indication of Delivery," during the PAS 2018 Meeting on Tuesday, May 8 at 7:30 a.m. EDT. Reporters interested in an interview with Dr. Lorenzo should contact PAS2018@piercom.com .

Please note: Only the abstract is being presented at the meeting. In some cases, the researcher may have additional data to share with media.

The PAS 2018 Meeting, taking place in Toronto on May 5-8, 2018, brings together thousands of pediatric scientists and other health care providers to improve the health and well-being of children worldwide. For more information about the PAS 2018 Meeting, please visit http://www.pas-meeting.org .

About The Pediatric Academic Societies (PAS) Meeting

The Pediatric Academic Societies (PAS) Meeting brings together thousands of pediatricians and other health care providers united by a common mission: improve the health and well-being of children worldwide. This international gathering includes researchers, academics, as well as clinical care providers and community practitioners. Presentations cover issues of interest to generalists as well as topics critical to a wide array of specialty and sub-specialty areas. The PAS Meeting is produced through a partnership of four pediatric organizations that are leaders in the advancement of pediatric research and child advocacy: American Pediatric Society, Society for Pediatric Research, Academic Pediatric Association and American Academy of Pediatrics. For more information, please visit http://www.pas-meeting.org . Follow us on Twitter @PASMeeting and #PAS2018, or like us on Facebook.

PAS Media Contact:

(214) 217-7300
PAS2018@piercom.com

PAS Press Office (May 5-8, 2018):
(832) 371-6239

Abstract: Morbidity Risk Among Late Preterm Infants: Immaturity vs Indication of Delivery

Background: Late preterm infants (LPT) constitute 70% of the preterm population. Common neonatal morbidities are higher in this group compared to term infants. Although this increased risk is attributed to physiological immaturity, recent studies indicate that immaturity itself may not be the sole cause of morbidity as all premature infants experience this risk, but suffer different outcomes. Some studies demonstrate that the risk of morbidities is determined by the causes of preterm delivery with immaturity acting as modulator. The relative contribution of these factors is unclear.

Objective: To assess the role of indications of delivery in LPT in determination of common neonatal morbidities that result in hospital stay.

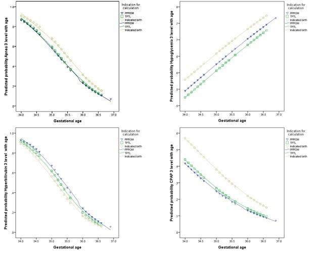
Design/Methods: This was a retrospective cohort study of LPTs (34 0/7weeks to 36 6/7weeks gestation) born in a single tertiary care centre between April 2014 to February 2016. We categorized indications of birth as threatened preterm labor (TPTL), preterm premature rupture of membrane (PPROM), and medically indicated deliveries which included maternal and fetal pathologies. Risk of hypoglycemia, hyperbilirubinemia, use of CPAP, and apnea of prematurity in LPT were estimated by calculating unadjusted and adjusted for gestational age risk ratios using multiple regression analysis with PPROM as a reference category.

Results: A total of 279 participants were included in the study. PPROM was responsible for 38.4% deliveries, TPTL in 22.8%, and 39.1% were delivered due to various obstetric and fetal indications with pre-eclampsia and intrauterine growth restriction being the most common reason for medically indicated preterm deliveries. A significant number of infants born for medically indicated deliveries were small for gestational age (67.6%, p=0.001), born by c-section (62.9%, p=0.001), and were given antenatal steroids (53.3%, p=0.02). Other characteristics are presented in Table 1.

All the morbidities were significant across gestational age with increased risk with decreasing gestational age, except hypoglycemia where the incident was highest at 36 weeks (66.7%), versus 28.5% at 35 weeks, and 22.7% at 34 weeks (p value=0.039). However, none of the morbidities were significantly associated with any indication of birth with or without adjustment of gestational age (Figure 1).

Conclusion(s): Majority of LPT suffer from morbidities resulting in hospital stay. Although, factors that result in LPT births do contribute to morbidity, physiological immaturity plays an important role in producing poorer outcomes.

Authors: Melissa Lorenzo, Megan D. Laupacis, Wilma Hopeman, Imtiaz Ahmad, Faiza Khurshid

Keywords

Contact Information

How to Cite This Article

APA:
Pediatric Academic Societies. (2018, May 5). Majority of late preterm infants suffer from morbidities resulting in hospital stay. Brightsurf News. https://www.brightsurf.com/news/80VJ9QQL/majority-of-late-preterm-infants-suffer-from-morbidities-resulting-in-hospital-stay.html
MLA:
"Majority of late preterm infants suffer from morbidities resulting in hospital stay." Brightsurf News, May. 5 2018, https://www.brightsurf.com/news/80VJ9QQL/majority-of-late-preterm-infants-suffer-from-morbidities-resulting-in-hospital-stay.html.