Bluesky Facebook Reddit Email

Associations of remnant cholesterol with cardiovascular and cancer mortality in a nationwide cohort

03.19.24 | Science China Press

Celestron NexStar 8SE Computerized Telescope

Celestron NexStar 8SE Computerized Telescope combines portable Schmidt-Cassegrain optics with GoTo pointing for outreach nights and field campaigns.


This study is led by Prof. Xi Li (Fuwai Hospital, Chinese Academy of Medical Sciences and Peking Union Medical College), Yuan Tian (Fuwai Hospital, National Center for Cardiovascular Diseases), Yi Wu (Fuwai Hospital, National Center for Cardiovascular Diseases), Minjie Qi (Henan provincial centre for Disease Control and Prevention) and Lijuan Song (National Center for Cardiovascular Diseases).

The health significance of triglyceride-rich lipoproteins, also known as remnant cholesterol, has been increasingly recognized. However, evidence of their associations with cause-specific mortality in the general population was previously insufficient.

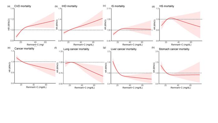
To explore these associations and differences in different subgroups, this study utilized the ChinaHEART cohort, which included 3403414 community participants, to assess the impact of various specific factors on mortality risk, including all-cause mortality, cardiovascular disease mortality (such as ischemic heart diseases, ischemic stroke, and hemorrhagic stroke), and cancer mortality (such as lung cancer, gastric cancer, and liver cancer).

During a median follow-up period of 3.6 years, 23646 individuals died from cardiovascular disease (including 8807 from ischemic heart diseases, 3067 from ischemic stroke, and 5190 from hemorrhagic stroke), 20318 from cancer (including 6208 from lung cancer, 3013 from liver cancer, and 2174 from gastric cancer). After adjusting for multiple variables, the study found that compared to the population with remnant cholesterol levels<17.9 mg/dl, the mortality risk ratios (HR) of the population with remnant cholesterol levels>27.7 mg/dl were as follows: all-cause mortality 1.03 (1.00-1.05), cardiovascular disease mortality 1.17 (1.12-1.21), ischemic heart diseases 1.19 (1.12-1.27), and ischemic stroke mortality 1.22 (1.09-1.36). Conversely, cancer mortality was 0.90 (0.87-0.94) (lung cancer 0.94 (0.87-1.02), liver cancer 0.59 (0.53-0.66), and gastric cancer 0.73 (0.64-0.83).

In summary, this study revealed that an increase in remnant cholesterol is associated with an elevated risk of cardiovascular disease mortality and a reduced risk of death for certain types of cancer.

Science Bulletin

10.1016/j.scib.2023.12.035

Keywords

Article Information

Contact Information

Bei Yan
Science China Press
yanbei@scichina.org

How to Cite This Article

APA:
Science China Press. (2024, March 19). Associations of remnant cholesterol with cardiovascular and cancer mortality in a nationwide cohort. Brightsurf News. https://www.brightsurf.com/news/8X5302Y1/associations-of-remnant-cholesterol-with-cardiovascular-and-cancer-mortality-in-a-nationwide-cohort.html
MLA:
"Associations of remnant cholesterol with cardiovascular and cancer mortality in a nationwide cohort." Brightsurf News, Mar. 19 2024, https://www.brightsurf.com/news/8X5302Y1/associations-of-remnant-cholesterol-with-cardiovascular-and-cancer-mortality-in-a-nationwide-cohort.html.