Bluesky Facebook Reddit Email

Captive-bred juvenile salmon unlikely to become migratory when released into streams

02.08.21 | Kobe University

Fluke 87V Industrial Digital Multimeter

Fluke 87V Industrial Digital Multimeter is a trusted meter for precise measurements during instrument integration, repairs, and field diagnostics.


Researchers at the Kobe University Graduate School of Science have revealed that when captive-bred juvenile red-spotted masu salmon are released into natural streams, very few individuals become migrants.

Red-spotted masu salmon was an important fish species for the fishing industry in the rivers of west Japan, however in recent years their numbers are declining rapidly. The results of this research offer important suggestions for stocking practices and the management of river environments.

The research group consisted of graduate school students TANAKA Tatsuya and UEDA Rui and Associate Professor SATO Takuya. The results were published in Biology Letters on January 13, 2021.

Main Points

Research Background

Preserving variation within a species is vital for many reasons, including for the species' long-term existence and for the sustainability of resources for humans. Migratory behavior is one example of variation in the life cycle of a particular species which is important for its continuation.

For example, within most species of salmonid fish, there are two phenotypes: migratory and non-migratory (resident). Migratory fish travel from the rivers to the ocean and then return to the rivers to spawn, whereas non-migratory individuals live in rivers for their entire lives. However in recent years, various factors such as reduced connectivity between rivers and oceans have caused a sharp decline in the number of migratory individuals. Consequently, large numbers of salmonid fish that were bred in captivity are released into rivers across the globe with the aim of replenishing and conserving fishery resources.

It is known that these stocking practices can contribute towards an increase in migratory individuals if the released captive-bred fish have already reached the preparatory stage for migration to the sea (smolt). However, in some stocking practices, juvenile fish that have yet to undergo smoltification are released. It is not known what percentage of these juveniles become migratory in natural rivers.

Research Aims and Hypothesis

In the Oncorhynchus masou ishikawae salmonid species native to Japan both migratory and resident individuals are found.

However, the distribution of these salmon populations is sharply declining nationwide in recent years, due in part to rivers being cut off from the ocean by dams and other artificial barriers. As part of efforts to restore the numbers of migratory individuals in the wild, red-spotted masu salmon are raised in hatcheries and those with a high probability of becoming migratory are released into rivers.

Red-spotted masu salmon that exceed the threshold size upon their first fall undergo smoltification and then become migratory individuals. On the other hand, those who do not grow large enough become residents and spend their entire lives in river waters.

It has been reported that captive-bred fish experience delayed growth when they are released into rivers, due to factors such as being unable to obtain sufficient food Based on this information, the researchers predicted that, even in the case of captive-bred individuals that were highly likely to reach smoltification, juvenile fish released into natural rivers prior to smoltification would experience growth delays rendering them unable to exceed the threshold size required.

Research Methodology and Findings

In order to investigate this hypothesis, red-spotted masu salmon from two different hatcheries were released into the natural streams in the upper regions of the Arida River in Wakayama Prefecture, Japan (in 10 sections across 7 streams). The individuals had a high probability of reaching the smolt stage and were released in early summer prior to smoltification. In fall, the researchers investigated the size of the released fish and the percentage that became smolts. In an additional experiment, released fish were raised in outdoor tanks (in which they could access a similar availability of food resources to the hatchery) and the researchers investigated the percentage of smolt and threshold size required for smoltification in these groups.

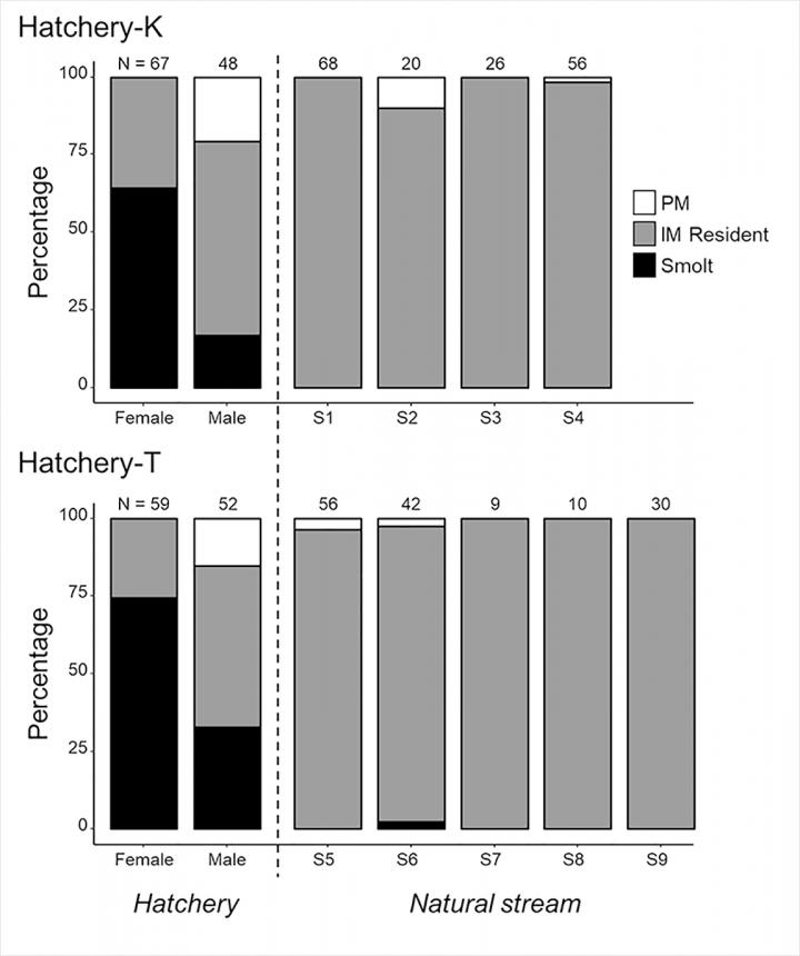
The results of this stocking experiment revealed that, out of 320 fish recaptured from natural streams, only one individual (0.3%) reached the smolt stage (Figure 2). In contrast, the numbers that achieved smoltification were much higher among the group that were raised in outdoor tanks, with 64% of females and 17% of males from K- hatchery, and 75% of females and 33% of males from T-hatchery reaching the smolt stage (Figure 2).

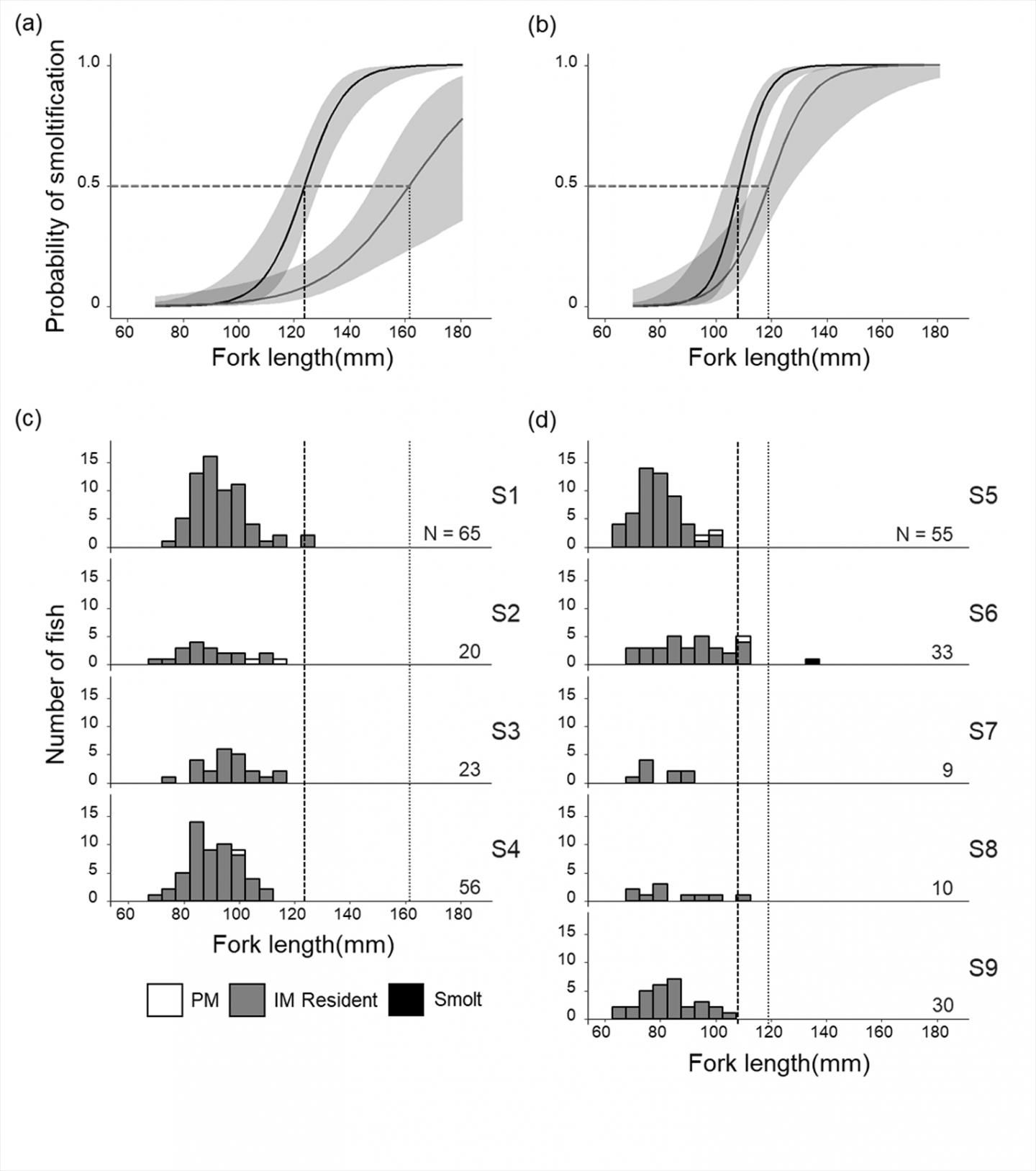
The threshold sizes for smolt individuals in the outdoor mesocosm groups were also investigated; these were found to be 124mm for females and 162mm for males from K-hatchery, and 108mm for females and 119cm for males from T-hatchery, respectively (Figure 3a, b). On the other hand, of the juveniles that were released into natural streams, the combined total of females that exceeded the threshold size from both hatcheries was only 8 out of 304 individuals recaptured from the same section (Figure 3c, d).

These research results strongly indicate that the vast majority of released salmonids experience reduced growth in natural rivers, meaning that they are unable to exceed the threshold size necessary to become smolts.

Further Developments

This study has shown that if captive-bred salmonid fish are released into natural rivers prior to smoltification they are highly unlikely to become migratory, even if their phenotypes are expressed in a hatchery. The results thus indicate that releasing large numbers of juvenile individuals doesn't really contribute to the replenishment and conservation of migratory salmon stocks.

However, if these fish are raised in a hatchery environment that is similar to a natural river, there is a possibility that fish could be produced that can grow well even after being released. In addition, it may be possible to increase the number of migratory fish by protecting and restoring streams and their surrounding forest environments, which could improve the growth of fish in the wild.

Currently, the research group is conducting field experiments in order to improve the growth rate of captive-bred red-spotted masu salmon in rivers and to illuminate the environment required for individuals to become migratory. At the same time, they are also planning to investigate methods of reclaiming river environments that can support the growth of migratory phenotypes, without relying on stocking practices.

###

Glossary

1. Smoltification: In salmonid species, individual fish that have made the decision to migrate to the ocean (or a lake) undergo a transformation called smoltification. During this stage, their shape, color and physiology change. They become longer and thinner, the scales on their sides turn silver and the tips of their tail and dorsal fins change to black.

Acknowledgements

Parts of this research were funded by the following organizations: The Asahi Glass Foundation for Environmental Field Research, and the Patagonia Environmental Program.

Journal Information

Title: "Captive-bred populations of a partially migratory salmonid fish are unlikely to maintain migratory polymorphism in natural habitats" DOI: 10.1098/rsbl.2020.0324

Authors: Tatsuya Tanaka, Rui Ueda and Takuya Sato

Journal: Biology Letters

Biology Letters

10.1098/rsbl.2020.0324

Keywords

Article Information

Contact Information

Source

How to Cite This Article

APA:
Kobe University. (2021, February 8). Captive-bred juvenile salmon unlikely to become migratory when released into streams. Brightsurf News. https://www.brightsurf.com/news/L3R90W68/captive-bred-juvenile-salmon-unlikely-to-become-migratory-when-released-into-streams.html
MLA:
"Captive-bred juvenile salmon unlikely to become migratory when released into streams." Brightsurf News, Feb. 8 2021, https://www.brightsurf.com/news/L3R90W68/captive-bred-juvenile-salmon-unlikely-to-become-migratory-when-released-into-streams.html.