Bluesky Facebook Reddit Email

Cluster radioactivity in extreme laser fields: A theoretical exploration

02.02.26 | Nuclear Science and Techniques

AmScope B120C-5M Compound Microscope

AmScope B120C-5M Compound Microscope supports teaching labs and QA checks with LED illumination, mechanical stage, and included 5MP camera.


From Laser Breakthroughs to New Frontiers in Nuclear Decay Control

With the continuous progress in experimental laser technology, significant improvements in laser energy and peak intensity have been achieved in recent years. The direct interaction between intense lasers and atomic nuclei has emerged as an exciting new possibility, one capable of altering nuclear decay lifetimes. Investigating the influence of strong laser fields on nuclear decay can elucidate how these fields affect nuclear structure and properties, offering a fresh perspective for understanding nuclear stability and decay mechanisms.

Exploring Laser-Assisted Cluster Radioactivity

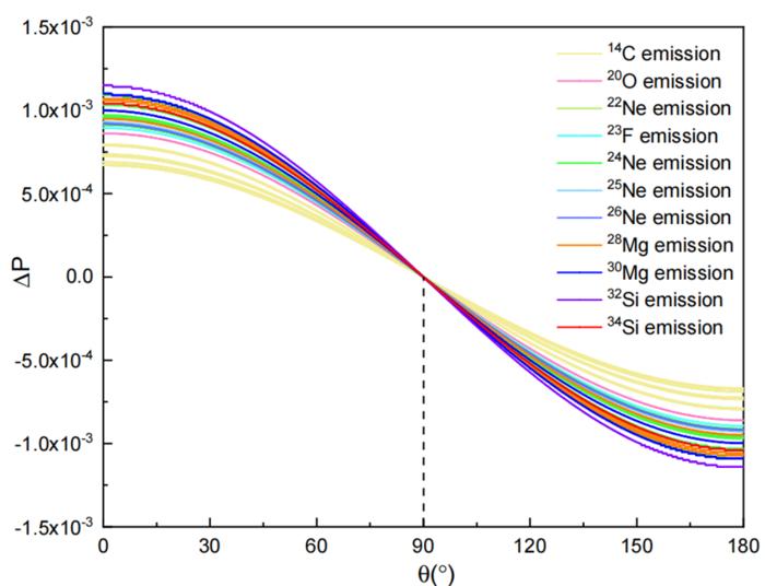
Led by physicist Xiao-Hua Li, the research team utilized an α-like model incorporating cluster preformation probability and nuclear deformation to calculate variations in penetration probability and half-life for cluster radioactivity at laser intensities of 10 24 W/cm² and 10 25 W/cm². Furthermore, they investigated the correlations between these variations and factors such as the tunneling path, shell effects, and the emission direction relative to the laser field. This study provides valuable new insights into the interaction between laser fields and nuclear decay processes.

Implications for Science and Technology
Beyond offering a new perspective on laser-nucleus interactions, this study holds promise for applications in the nuclear energy sector. By modulating cluster radioactivity processes and affecting their half-lives, lasers present a potential avenue to mitigate the generation of nuclear waste associated with cluster radioactive nuclides.

Future Implications
The team is currently preparing to systematically further investigate the influence of laser fields on cluster radioactivity, focusing on parent nucleus properties, nuclear structure information, and laser characteristics. Future research aims to deepen the understanding of laser-nucleus interactions, providing theoretical support for the microscopic mechanisms by which strong laser fields affect nuclear decay.

The complete study is via by DOI: https://doi.org/10.1007/s41365-025-01880-4

Nuclear Science and Techniques

10.1007/s41365-025-01880-4

Computational simulation/modeling

Not applicable

Systematic study of laser-assisted cluster radioactivity for deformed nuclei

31-Jan-2026

Keywords

Article Information

Contact Information

Lihua Sun
Nuclear Science and Techniques
nst@sinap.ac.cn

Source

How to Cite This Article

APA:
Nuclear Science and Techniques. (2026, February 2). Cluster radioactivity in extreme laser fields: A theoretical exploration. Brightsurf News. https://www.brightsurf.com/news/L3RGZMZ8/cluster-radioactivity-in-extreme-laser-fields-a-theoretical-exploration.html
MLA:
"Cluster radioactivity in extreme laser fields: A theoretical exploration." Brightsurf News, Feb. 2 2026, https://www.brightsurf.com/news/L3RGZMZ8/cluster-radioactivity-in-extreme-laser-fields-a-theoretical-exploration.html.