Bluesky Facebook Reddit Email

What is a species? British bird expert develops a math formula to solve the problem

05.10.18 | Pensoft Publishers

Rigol DP832 Triple-Output Bench Power Supply

Rigol DP832 Triple-Output Bench Power Supply powers sensors, microcontrollers, and test circuits with programmable rails and stable outputs.


Nature is replete with examples of identifiable populations known from different continents, mountain ranges, islands or lowland regions. While, traditionally, many of these have been treated as subspecies of widely-ranging species, recent studies relying on molecular biology have shown that many former "subspecies" have in fact been isolated for millions of years, which is long enough for them to have evolved into separate species.

Being a controversial matter in taxonomy - the science of classification - the ability to tell apart different species from subspecies across faunal groups is crucial. Given limited resources for conservation, relevant authorities tend only to be concerned for threatened species, with their efforts rarely extending to subspecies.

Figuring out whether co-habiting populations belong to the same species is only as tough as testing if they can interbreed or produce fertile offspring. However, whenever distinct populations are geographically separated, it is often that taxonomists struggle to determine whether they represent different species or merely subspecies of a more widely ranging species.

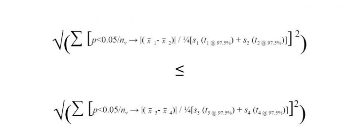
British bird expert Thomas Donegan has dedicated much of his life to studying birds in South America, primarily Colombia. To address this age-long issue of "what is a species?", he applied a variety of statistical tests, based on data derived from bird specimens and sound recordings, to measure differences across over 3000 pairwise comparisons of different variables between populations.

Having analyzed the outcomes of these tests, he developed a new universal formula for determining what can be considered as a species. His study is published in the open-access journal ZooKeys .

Essentially, the equation works by measuring differences for multiple variables between two non-co-occurring populations, and then juxtaposing them to the same results for two related populations which do occur together and evidently belong to different "good" species. If the non-co-occurring pair's differences exceed those of the good species pair, then the former can be ranked as species. If not, they are subspecies of the same species instead.

The formula builds on existing good taxonomic practices and borrows from optimal aspects of previously proposed mathematical models proposed for assessing species in particular groups, but brought together into a single coherent structure and formula that can be applied to any taxonomic group. It is, however, presented as a benchmark rather than a hard test, to be used together with other data, such as analyses of molecular data.

Thomas hopes that his mathematical formula for species rank assessments will help eliminate some of the subjectivity, regional bias and lumper-splitter conflicts which currently pervade the discipline of taxonomy.

"If this new approach is used, then it should introduce more objectivity to taxonomic science and ultimately mean that limited conservation resources are addressed towards threatened populations which are truly distinct and most deserving of our concern," he says.

The problem with ranking populations that do not co-occur together was first identified back in 1904. Since then, most approaches to addressing such issues have been subjective or arbitrary or rely heavily upon expert opinion or historical momentum, rather than any objectively defensible or consistent framework.

For example, the American Herring Gull and the European Herring Gull are lumped by some current taxonomic committees into the same species (Herring Gull), or are split into two species by other committees dealing with different regions, simply because relevant experts at those committees have taken different views on the issue.

"For tropical faunas, there are thousands of distinctive populations currently treated as subspecies and which are broadly ignored in conservation activities," explains Thomas. "Yet, some of these may be of conservation concern. This new framework should help us better to identify and prioritize those situations."

###

Original source:

Donegan TM (2018) What is a species? A new universal method to measure differentiation and assess the taxonomic rank of allopatric populations, using continuous variables. ZooKeys 757: 1-67. https://doi.org/10.3897/zookeys.757.10965

Additional information:

Donegan's proposals were first presented orally at a joint meeting for members of the Neotropical Bird Club, British Ornithologists' Club and Natural History Museum in London .

ZooKeys

10.3897/zookeys.757.10965

Keywords

Article Information

Contact Information

How to Cite This Article

APA:
Pensoft Publishers. (2018, May 10). What is a species? British bird expert develops a math formula to solve the problem. Brightsurf News. https://www.brightsurf.com/news/L55VME3L/what-is-a-species-british-bird-expert-develops-a-math-formula-to-solve-the-problem.html
MLA:
"What is a species? British bird expert develops a math formula to solve the problem." Brightsurf News, May. 10 2018, https://www.brightsurf.com/news/L55VME3L/what-is-a-species-british-bird-expert-develops-a-math-formula-to-solve-the-problem.html.