Bluesky Facebook Reddit Email

Nicotinamide can 'immunize' plants to protect from fungal disease

06.10.21 | Kanazawa University

CalDigit TS4 Thunderbolt 4 Dock

CalDigit TS4 Thunderbolt 4 Dock simplifies serious desks with 18 ports for high-speed storage, monitors, and instruments across Mac and PC setups.


Kanazawa, Japan - Fungal diseases in cereal crops cause major economic losses and also threaten human and livestock health, because some fungi produce powerful toxins that might enter the food chain. Farmers use fungicides to control crop diseases, such as wheat head blight. Although agrochemicals are rigorously tested for safety, there can be concerns over chemical residues in food.

Now, researchers at Kanazawa University, in collaboration with colleagues at Ehime University and Nagoya University, have shown that the natural substance nicotinamide (NIM - a vitamin found in food and used as a dietary supplement) can help stimulate plant immune systems. Pre-treatment with NIM can prevent or reduce development of fungal disease in wheat plants. This knowledge could lead to new approaches to tackle crop diseases. The team recently published their work in the International Journal of Molecular Sciences .

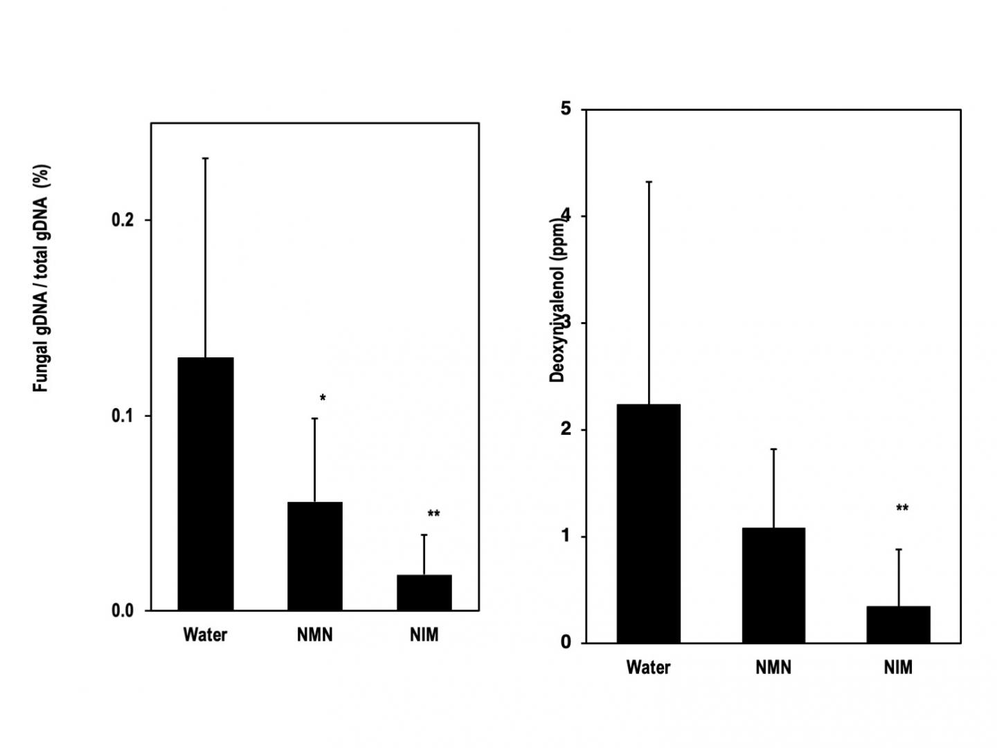
When the team pre-treated with NIM the spikes of wheat plants (carrying the young grains that are later harvested to make flour) and then inoculated the plants with conidia of Fusarium graminearum (which causes head blight), the NIM pre-treatment strongly suppressed the disease. Pre-treated plants contain much less fungal biomass, and less of a mycotoxin it produces, compared with water-treated plants.

The team also performed metabolomics to analyze the contents of hundreds of compounds in the plants and found that NIM pre-treatment increased the amounts of 375 substances. Among those markedly increased were several antimicrobial and antioxidant compounds.

"We found that pre-treating wheat plants with NIM led to the activation of plant immune response and much higher content of the plant's own defense-related compounds, including antimicrobial substances", says lead author Yasir Sidiq. "This work builds on previous research using other natural chemicals related to NIM and has the added advantages of being relatively cheap, readily available, and stable at room temperature."

This work represents a significant step forward in developing environmentally friendly ways to tackle important diseases in crops. "We expect our study will lead to novel approaches in agriculture," corresponding author Takumi Nishiuchi explains, "potentially replacing toxic fungicide sprays with new ways of stimulating the plant innate immune responses - similar to how vaccinating humans or animals primes their immune systems against later infection."

###

International Journal of Molecular Sciences

10.3390/ijms22062968

Keywords

Article Information

Contact Information

How to Cite This Article

APA:
Kanazawa University. (2021, June 10). Nicotinamide can 'immunize' plants to protect from fungal disease. Brightsurf News. https://www.brightsurf.com/news/LMJ2DE5L/nicotinamide-can-immunize-plants-to-protect-from-fungal-disease.html
MLA:
"Nicotinamide can 'immunize' plants to protect from fungal disease." Brightsurf News, Jun. 10 2021, https://www.brightsurf.com/news/LMJ2DE5L/nicotinamide-can-immunize-plants-to-protect-from-fungal-disease.html.