Bluesky Facebook Reddit Email

One step closer to a new kind of computer

09.15.15 | Moscow Institute of Physics and Technology

Fluke 87V Industrial Digital Multimeter

Fluke 87V Industrial Digital Multimeter is a trusted meter for precise measurements during instrument integration, repairs, and field diagnostics.


An international group of physicists, including Aleksandr Golubov, head of the MIPT Laboratory of Topological Quantum Phenomena in Superconductor Systems, recently presented results of experiments testing a new phenomenon in the journal Science . The results may assist scientists in the creation of an essentially new kind of electronics - Mott transition, or the transition of an insulator to a conductor.

Researchers from institutions in the Netherlands, Great Britain, Italy, the USA and Russia conducted a series of experiments with Mott insulators. These materials, according to band theory,* should be conductors but, in practice, are dielectrics (insulators). In general terms, the mechanism behind this anomaly is known to physicists, though a complete theory for Mott insulators does not yet exist. They do not fully understand how the materials transform from insulators into conductors.

* Band theory is a quantum theory developed in the first half of the 20th century to explain the electrical properties of substances. The theory is based on the idea of quantum energy states. Electrons in a substance either have both sufficient energy and free transition and, thus, are able to enter the zone of conductivity, or they do not, in which case it becomes what researchers call a "forbidden zone."

At the same time, preliminary estimates indicate that this effect is capable of opening a new path to faster computers. Motto transition occurs under the influence of several factors, including a magnetic field, which allows it to be controlled from outside. This makes it possible for researchers to permit current flow or to stop it at a necessary point. Such a scheme could replace common transistors and, in this case, allow them to be faster and more compact. But to do so, scientists must utilize the theory of Motto transition.

The theory belongs to fundamental conceptions explaining the electrical properties of a substance. It has a direct relation not only to Motto insulator behavior but also to superconductivity and the fundamentals of spintronics, a technology that could allow the control of electron spin.* Superconductivity and spintronics are among those trends where one can expect radical technological breakthrough, which is what makes understanding the nature of Motto transition so important - and not only from a purely theoretical point of view.

* Physicists define spin (spin up and spin down) as a quantum quantity, which "shows itself" when a particle interacts with a magnetic field. Spin plays a fundamental role in quantum physics because, without considering spin, it is impossible to describe the behavior of electrons in atoms, the phenomenon of material magnetization or molecular structure. The phenomenon of magnetic resistance goes together with spin. This can be seen when a sample is placed in a magnetic field and its electrical resistance dramatically changes; the effect is also seen in all modern hard drives.

In their new research, the physicists used a special model that allowed them to study quantum processes in the Motto insulator with the aid of so-called magnetic vortices. In this model, which was proposed by Valery Vinokur and David Nelson in 1993, electric current actuates a quantum vortex in a superconducting material, and one can consider such vortices to be the charge carrier. At this point - which is most significant, and about which Vinokur and Nelson wrote when discussing phase transitions* in their work - the superconductor with magnetic vortices behaved either like superfluid liquid or like glass, through which electric current cannot pass. By varying the temperature and the magnetic field, the scientists converted the sample from one state to another, and these observations together with the set of newer data were used as a basis for the new research.

* Phase transitions - transition of a substance from one state to another. A classic example is ice melting and turning into water, or water evaporating to become vapor. The demagnetization of a magnetized needle by heating it with a candle flame, which is an experiment that is also conducted in school, is another example of phase transition. Phase transitions are part of the study of thermodynamics, and they are connected with changes in the characteristics of a system such as total energy, entropy and order.

For the new experiment, the scientists created a quadrangular matrix on a silicon slab from 300?300 niobium "islets" with a diameter of about 220 nanometers and attached gold and niobium contacts to it. They made the sample using standard photolithograph methods, and then placed it in a cryostat, allowing it to cool to 1.4 kelvins, which is lower than the temperature needed for niobium to transition to a superconducting state. The niobium islets became superconductors, magnetic vortexes formed in them, and the researchers then analyzed the behavior of the system in different conditions.

Pic. The matrix made from niobium islets used in the experiments, its relief and cross-section, as well as a general view (C) in the optical microscope. Illustration courtesy of the researchers.

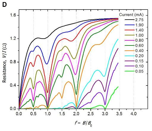
In particular, they measured the sample resistance and discovered that this quantity changes nonlinearly with an increasing magnetic field. From a theoretical point of view, the results suggest that one can view Motto transition as the transition of a substance from a liquid state to a gas, which opens up additional opportunities for analyzing the phenomenon from the perspective of thermodynamics. The experimental scheme developed by the scientists makes further experiments comparatively simple, because they have a sufficient amount of photolithograph methods and temperatures comparable with the temperature of liquid helium. It is worth noting that the low temperatures were achieved without the use of expensive liquid helium, and last year MIPT installed a similar unit in the laboratory at the Interdisciplinary Center for Basic Research.

Nonlinear resistance of the sample and the influence of magnetic fields upon electrical resistance. Illustration courtesy of the researchers.

###

The article has been published in the journal Science and is available at arxiv.org .

Link to the article: http://www.sciencemag.org/content/349/6253/1202

It is signed by researchers from Twente University (the Netherlands, second place of employment for Aleksandr Golubov), Rome International Center for Materials Science Center RICMASS, the Institute of Semiconductor Physics of the Siberian Branch of the Russian Academy of Sciences, Novosibirsk State University, Argonne National Laboratory (the USA), Queen Mary University of London, and MIPT.

Science

10.1126/science.1260507

Keywords

Article Information

Contact Information

Stanislav Goryachev
goriachev.sa@mipt.ru

Source

How to Cite This Article

APA:
Moscow Institute of Physics and Technology. (2015, September 15). One step closer to a new kind of computer. Brightsurf News. https://www.brightsurf.com/news/LNM4DJ41/one-step-closer-to-a-new-kind-of-computer.html
MLA:
"One step closer to a new kind of computer." Brightsurf News, Sep. 15 2015, https://www.brightsurf.com/news/LNM4DJ41/one-step-closer-to-a-new-kind-of-computer.html.