Bluesky Facebook Reddit Email

Binding energies of near proton-drip line Z = 22-28 isotopes determined

09.29.18 | Science China Press

Anker Laptop Power Bank 25,000mAh (Triple 100W USB-C)

Anker Laptop Power Bank 25,000mAh (Triple 100W USB-C) keeps Macs, tablets, and meters powered during extended observing runs and remote surveys.


The nuclei at the proton-drip lines are important to test nuclear models in extreme conditions. The near proton-drip line isotopes have been produced by bombarding 345A MeV 78Kr on the 9Be target by Blank et al. at RIKEN-BigRIPS. A recent study predicted the binding energy of these isotopes.

The article entitled: "Binding energies of near proton-drip line Z = 22-28 isotopes determined from measured isotopic cross section distributions", recently published on issue 1 of Science Chinese Physics, Mechanics & Astronomy in 2019 (English version). The article was written by Professor Ma Chun-Wang of Henan Normal University as a communication author. The researchers predicted the binding energy of the very proton-rich nuclei by the exponential dependence between the isotopic cross-section distribution and the binding energy.

Many new phenomena, which are very different to the properties of the β-stable nucleus, have been found in the nuclei around the proton-drip line, including the exotic proton-halo or proton-skin structure, the β-delayed one, two, or multi protons emission, shell evolution. Besides, the nuclei that lie on the proton-drip line are very important in nuclear astrophysics because of their importance in the study of the energy and mass production and the astrophysical nucleon synthesis process including the rp-process. While the property of the isotope near the proton-drip line is hard to be known in the experiment because of its very low production probability. The improved radioactive ion beam techniques (such as the ion storage ring) provide us the new opportunity to learn more about the nuclei near the proton-drip line.

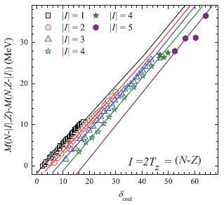
The relationship between the cross section and binding energy of neutron-rich fragments has been found by Tsang et al., which depends exponentially on the average binding energy per nucleon . In the article, standard cross section method was used to predict the cross section of I= -3 to 1 fragment in the 345A MeV 78Kr + 9Be reaction. These cross sections and experimental binding energy were used to verify the exponential dependence between cross section and binding energy for proton-rich isotope. The exponential dependence was also used to predict the isotope binding energy of I=-5 and -4 nuclei. According to the scaling phenomenon of the difference between the mass of mirror nuclei, the predicted binding energy of proton-rich isotope was verified. It is found that the predicted binding energy has agree well to the scaling phenomenon of mirror nuclei, which verifies the method proposed is reliable.

The binding energy of the near proton-drip line isotopes of Z=22-28, which have been measured in the 345A MeV 78Kr + 9Be reaction, are the first time determined from the measured isotopic cross section distributions. The binding energies are determined from the correlation between cross section and the average binding energy per nucleon, which are further justified from the scaling phenomenon of mass difference between mirror nuclei. The method proposed overcomes the lack of cross sections for isotopes, making it possible to determine the binding energy of very proton-rich isotopes in planning future experiment.

###

This research was funded by the National Natural Science Foundation of China(Grand No. 11421505, and U1732135), Major State Basic Research Development Program in China(Grant No.2014CB845 401), Natural Science Foundation of Henan Province (Grant No. 162300410179), Henan Normal University for the Excellent Youth (Grant No. 154100510007).

See the article:

Chun-Wang Ma, Yi-Dan Song, and Hui-Ling We. Predicting the binding energy of near proton-drip line Z = 22-28 isotopes determined from measured isotopic cross section distributions by Chinese Science Physics, Mechanics & Astronomy , 2019, Vol.62, No. 1: 012013

http://link.springer.com/article/10.1007/s11433-018-9256-8

10.1007/s11433-018-9256-8

Keywords

Article Information

Contact Information

Ma Chun-Wang
Science China Press
machunwang@126.com

How to Cite This Article

APA:
Science China Press. (2018, September 29). Binding energies of near proton-drip line Z = 22-28 isotopes determined. Brightsurf News. https://www.brightsurf.com/news/LP2OQE0L/binding-energies-of-near-proton-drip-line-z-22-28-isotopes-determined.html
MLA:
"Binding energies of near proton-drip line Z = 22-28 isotopes determined." Brightsurf News, Sep. 29 2018, https://www.brightsurf.com/news/LP2OQE0L/binding-energies-of-near-proton-drip-line-z-22-28-isotopes-determined.html.