Bluesky Facebook Reddit Email

Consumption of 3-6 eggs/week lowers the risk of cardiovascular disease and death

04.01.20 | Science China Press

Fluke 87V Industrial Digital Multimeter

Fluke 87V Industrial Digital Multimeter is a trusted meter for precise measurements during instrument integration, repairs, and field diagnostics.


Eggs have been acknowledged as a good source of high-quality proteins and contain bioactive components beneficial for health, while they are also loaded with abundant cholesterol in the yolks, making the public hesitant about consuming whole eggs. Up to now, most studies exploring the association of egg consumption with incident CVD or total death were conducted in high-income countries and findings were inconsistent across populations and CVD subtypes. Accordingly, no consensus has been reached on the recommendation of egg consumption around the world.

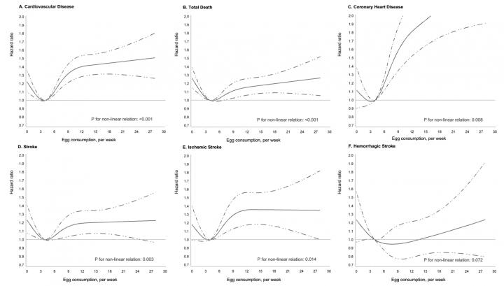
The current study conducted by Xia and her colleagues from Fuwai Hospital, Chinese Academy of Medical Sciences suggested that there were U-shaped relationships between egg consumption and the risks of incident CVD and total death among general Chinese, and those consumed 3-6 eggs/week was at the lowest risk. More specifically, consumption of <1 egg/week was associated with 22% higher risk for incident CVD and 29% higher risk for total death; on the other hand, consumption of >=10 eggs/week was associated with 39% and 13% higher risk for incident CVD and total death, respectively.

In addition, researchers pointed out that the influence of egg consumption seemed to be different across CVD subtypes. Individuals had higher consumption of eggs was more likely to have increased risk of coronary heart disease (CHD) and ischemic stroke, while the elevated risk of hemorrhagic stroke was only found among those with lower consumption.

The current study was conducted based on the project of Prediction for Atherosclerotic Cardiovascular Disease Risk in China (China-PAR), which was established to estimate the epidemic of CVD and identify the related risk factors in general Chinese population. A total of 102136 participants from 15 provinces across China were included, who were all free of CVD, cancer or end-stage renal diseases at baseline. During up to 17 years of follow-up, 4848 cases of incident CVD (including 1273 CHD and 2919 stroke), and 5511 total death were identified, with over 90% follow-up rate.

A previous Chinese evidence from the China Kadoorie Biobank (CKB) study indicated that low to moderate intake of eggs (about 5 eggs/week) was significantly associated with lower risk of CVD in comparison with never or rare consumption (about 2 eggs/week). However, lacking participants with consumption of >=1 egg/d limited them to further assess the influence of higher egg consumption. In the China-PAR project, about 25% participants consuming 3-6 eggs/week, and the percentage of participants consuming < 1 egg/week and >=10 eggs/week was 12% and 24%, respectively. Benefiting from the wide range of egg consumption, the present study firstly demonstrated the potential adverse effects of too much egg intake among Chinese population.

The removal of limits on dietary cholesterol in the most recent US and Chinese dietary guidelines have provoked considerable reaction. Both the American Heart Association and the Chinese Preventive Medicine Association subsequently released scientific reports and emphasized that "dietary cholesterol should not be given a free pass to be consumed in unlimited quantities". Considering the rapid increase of both cholesterol intake and hypercholesteremia prevalence in China, measures should be taken to encourage the public to limit dietary cholesterol intake. Meanwhile, those with rare egg consumption could be recommended to eat a bit more in the future. This novel evidence should be considered in the update of guidelines on dietary cholesterol and CVD prevention for the general Chinese and probably for other populations in the low-and middle- income countries.

###

See the article:

Xia, X., Liu, F., Yang, X., Li, J., Chen, J., Liu, X., Cao, J., Shen, C., Yu, L., Zhao, Y., et al. (2020). Associations of egg consumption with incident cardiovascular disease and all-cause mortality. Sci China Life Sci 63, https://doi.org/10.1007/s11427-020-1656-8

Science China Life Sciences

10.1007/s11427-020-1656-8

Keywords

Article Information

Contact Information

Dongfeng Gu
Science China Press
gudongfeng@cashq.ac.cn

How to Cite This Article

APA:
Science China Press. (2020, April 1). Consumption of 3-6 eggs/week lowers the risk of cardiovascular disease and death. Brightsurf News. https://www.brightsurf.com/news/LRD64ZO8/consumption-of-3-6-eggsweek-lowers-the-risk-of-cardiovascular-disease-and-death.html
MLA:
"Consumption of 3-6 eggs/week lowers the risk of cardiovascular disease and death." Brightsurf News, Apr. 1 2020, https://www.brightsurf.com/news/LRD64ZO8/consumption-of-3-6-eggsweek-lowers-the-risk-of-cardiovascular-disease-and-death.html.