Bluesky Facebook Reddit Email

New progress in turbulent combustion modeling: Filtered flamelet model

02.07.20 | Science China Press

Sky-Watcher EQ6-R Pro Equatorial Mount

Sky-Watcher EQ6-R Pro Equatorial Mount provides precise tracking capacity for deep-sky imaging rigs during long astrophotography sessions.


In turbulent combustion, the interaction between the strong nonlinear reaction source and turbulence leads to broad spectrum of the spatio and temporal scales. From the modeling point of view, it is especially challenging to predict the field statistics satisfactorily. Although there are different turbulent combustion models, e.g. the flamelet-like model, probability density function-like model, conditional moment closure model and eddy dissipation concept model, the bases of the model closure have not been reasonably justified. Recently, a new modeling idea for turbulent diffusion flame has been proposed by Lipo Wang's group from Shanghai Jiao Tong University and Jian Zhang from the Institute of Mechanics, CAS. The article titled "non-premixed turbulent combustion modeling based on the filtered turbulent flamelet equation" was published in SCIENCE CHINA Physics, Mechanics & Astronomy .

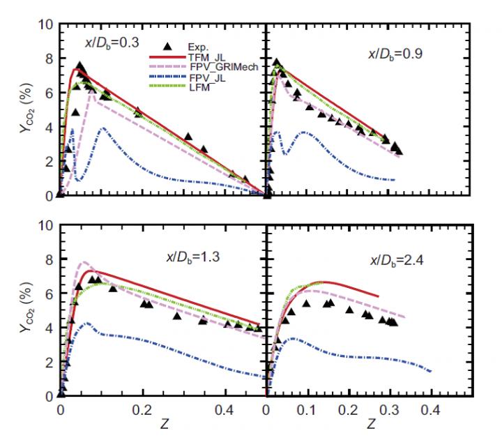
In the framework of large eddy simulation (LES), a new filtered flamelet equation was first derived, based on which a filtered flamelet model could be constructed directly from the filtered quantities. For instance, the scalar dissipation rate of the filtered progress variable, instead of the unfiltered one, is involved in the model construction. Therefore, the model uncertainty can be largely reduced. Figures 1 and 2 show the comparison between the simulation results of the Sydney bluff-body turbulent jet flame using different models, including the newly proposed filtered flamelet model with simplified mechanism (solid red lines), the flamelet/progress variable approach with detailed mechanism (dotted pink lines); the flamelet/progress variable approach with simplified mechanism (dotted blue lines), the laminar flamelet model with detailed mechanism (dotted green lines) and the experiment results (solid triangle marks). Overall, the new model results agree satisfactorily with the experimental data.

In summary, the promising performance of the present filtered flamelet model can be attributed to the new inspiration of model construction based on the filter flamelet equation. Further improvement and various case tests will be implemented in future's work.

###

See the article: J. Zhang, L. P.Wang, and Y. Q. Guo, Non-premixed turbulent combustion modeling based on the filtered turbulent flamelet equation, Sci. China-Phys. Mech. Astron. 63, 244711 (2020), https://doi.org/10.1007/s11433-019-1458-4

http://engine.scichina.com/publisher/scp/journal/SCPMA/63/4/10.1007/s11433-019-1458-4?slug=fulltext

10.1007/s11433-019-1458-4

Keywords

Article Information

Contact Information

Bei Yan
Science China Press
yanbei@scichina.org

How to Cite This Article

APA:
Science China Press. (2020, February 7). New progress in turbulent combustion modeling: Filtered flamelet model. Brightsurf News. https://www.brightsurf.com/news/1EO39Z7L/new-progress-in-turbulent-combustion-modeling-filtered-flamelet-model.html
MLA:
"New progress in turbulent combustion modeling: Filtered flamelet model." Brightsurf News, Feb. 7 2020, https://www.brightsurf.com/news/1EO39Z7L/new-progress-in-turbulent-combustion-modeling-filtered-flamelet-model.html.