Bluesky Facebook Reddit Email

Adenoid and tonsil trouble for teens

02.08.19 | Tokyo Medical and Dental University

Nikon Monarch 5 8x42 Binoculars

Nikon Monarch 5 8x42 Binoculars deliver bright, sharp views for wildlife surveys, eclipse chases, and quick star-field scans at dark sites.


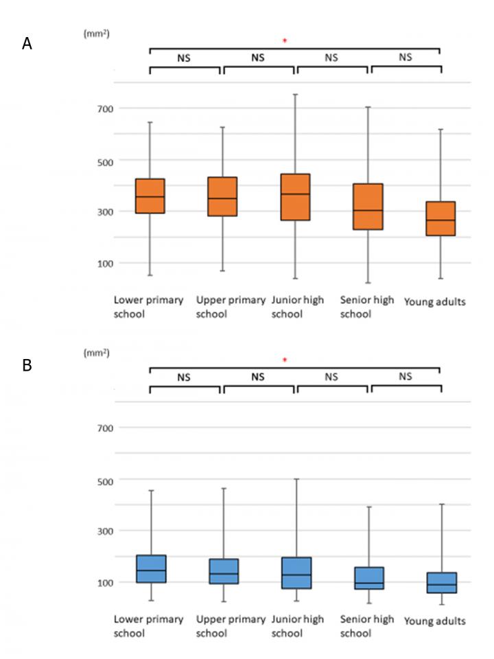
Tokyo, Japan - In the most thorough longitudinal study performed to date, X-ray images of children at five developmental stages between the ages of eight and nineteen were carefully measured (Fig. 1 A,B). The finding that the adenoids and tonsils do not shrink significantly during the teenage years may reshape the guidelines for when an adenotonsillectomy should be performed to treat respiratory complications, e.g., obstructive sleep apnea (OSA). The adenoids and tonsils are small regions of tissue at the back of the throat that help the body's immune system fight ingested and inhaled pathogens. While the removal of inflamed adenoids and tonsils are often seen as a hazard of childhood, most people who have a tonsillectomy today do so to treat OSA. Patients with OSA often have trouble sleeping due to these enlarged tissues, and usually have the adenoids and tonsils surgically removed at the same time (adenotonsillectomy).

Since 1923, when Dr. Richard Scammon first published graphs of growth patterns in the human body, it has been the medical consensus that the lymphoid tissues, which include the adenoids and tonsils, peak in size around 12 years old, and then shrink to reach their adult shape by about age 20. Now, a study by a team led by researchers at Tokyo Medical and Dental University (TMDU) challenges this belief, and found that the adenoids and tonsils remain more or less constant in size from lower primary school through young adulthood. These results will be important for primary care physicians and orthodontists when attempting to determine when surgery is indicated.

For the current research, the team chose to do a longitudinal study, which follows specific individuals over time, instead of an easier cross-sectional study, which observes various age groups at once. "Although more intensive than cross-sectional studies, longitudinal observational studies are more suitable for assessing the complex growth patterns seen in individuals," says lead author Takayoshi Ishida.

The researchers obtained lateral cephalometric radiographies which are standardized and highly reproducible from 90 samples (same individuals) from a total of 23,133 patient database. For each individual, the adenoid and tonsil sizes were measured at five developmental stages: lower primary school (age 8), upper primary school (age 10), junior high school (age 13), senior high school (age 16), and young adult (age 19). The researchers found that the size of the adenoids and tonsils did not significantly vary among age groups, except when comparing the oldest with the youngest groups (Fig 2).

The previous understanding may have arisen because the surrounding regions of the throat also grow rapidly in teenagers "We found that, in actuality, the airway itself grows bigger, making the fraction taken up by the adenoids and tonsils smaller." says senior author Takashi Ono. The work is published in Scientific Reports as "Patterns of adenoid and tonsil growth in Japanese children and adolescents: A longitudinal study." (DOI:10.1038/s41598-018-35272-z)

###

Scientific Reports

10.1038/s41598-018-35272-z

Keywords

Article Information

Contact Information

Takayoshi ISHIDA
takaorts@tmd.ac.jp

Source

How to Cite This Article

APA:
Tokyo Medical and Dental University. (2019, February 8). Adenoid and tonsil trouble for teens. Brightsurf News. https://www.brightsurf.com/news/1GNQ4JXL/adenoid-and-tonsil-trouble-for-teens.html
MLA:
"Adenoid and tonsil trouble for teens." Brightsurf News, Feb. 8 2019, https://www.brightsurf.com/news/1GNQ4JXL/adenoid-and-tonsil-trouble-for-teens.html.