Bluesky Facebook Reddit Email

Say hello to Algol’s new companion candidates

11.04.21 | University of Helsinki

Celestron NexStar 8SE Computerized Telescope

Celestron NexStar 8SE Computerized Telescope combines portable Schmidt-Cassegrain optics with GoTo pointing for outreach nights and field campaigns.


Dr. Lauri Jetsu from the University of Helsinki has analysed observations of Algol. He argues
that Algol has many companion stars which have not been detected from earlier observations.
The results have been published in The Astrophysical Journal.

What is Algol?

Algol is an eclipsing binary, where the two stars Algol A and Algol B orbit around their common centre of mass. Their orbital period is 2.867 days. The abbreviation for this binary system is Algol AB.

Algol’s primary eclipses occur when the dimmer Algol B partially covers the brighter Algol A. These primary eclipses last ten hours, and they can be observed with naked eye. Goodricke (1783) determined Algol’s orbital period from naked eye observations of these events. The primary eclipses would be repeated regularly exactly after 2.867 days, if nothing disturbed the motions of Algol AB binary system. All these future eclipses could be computed from the multiples of the constant period 2.867 days.

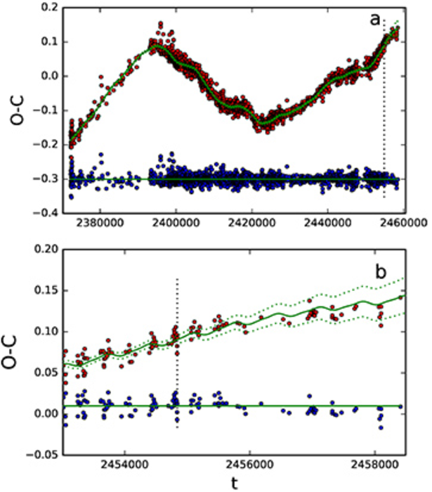
The presence of a third member Algol C in this multiple star system was confirmed in late 1950s. Algol C and Algol AB orbit around their common centre of mass. One round takes 1.86 years. The orbital motions of Algol C and Algol AB cause a light travel time effect. We observe the primary eclipses earlier when Algol AB is closer to us, and later when Algol AB is further away from us. During every 1.86 years round, Algol C causes the same regular positive and negative time shifts in the observed eclipse epochs of Algol AB. The range of these time shifts is only about nine minutes. Due to these time shifts, the observed eclipse epochs (O=Observed) differ from the computed constant period eclipse epochs (C=Computed). These differences are called the O-C data.

There may be even four or five new companions

Lauri Jetsu analyses the O-C data of Algol between November 1782 and October 2018. He applies his recently formulated Discrete Chi-square Method to these data. This method is designed for detecting regular periodic signals. These detections succeed even if the signals are superimposed on an irregular aperiodic trend. From O-C data of Algol AB, the Discrete Chi-square Method can detect the light travel time effect signals of five or six companion star candidates. The O-C data alone can not be used to establish the exact number of these candidates. One of these candidates is the known “old” companion Algol C. The orbital periods of the other four or five “new” companion star candidates are between 20 and 219 years.

– These stars are candidates until new observations confirm their existence, says Jetsu. He also shows that the periodic signals of these candidates can predict the observed Algol’s O-C changes.

Why have these candidates not been detected earlier?

Algol is so close to us that we can observe its eclipses with naked eye. These new Algol’s companion candidate stars would be literally on our backyard.

– The paradox is that Algol is “too bright”, says Jetsu. Algol can hide these new companion candidate stars even from our most powerful modern space telescopes, just like our Sun can hide all other stars during daytime, says Jetsu. He points out that for example the cutting-edge equipment onboard the Gaia satellite could not detect these Algol’s new companion candidates. Jetsu argues that future interferometric observations may be used to directly confirm the existence of at least some of these new Algol’s companion candidates.

Reference: “Say Hello to Algol’s New Companion Candidates” published in The Astrophysical Journal ( https://iopscience.iop.org/article/10.3847/1538-4357/ac1351 )

Contact information: Dr. Lauri Jetsu, lauri.jetsu@helsinki.fi , +358 45 6746983

The Astrophysical Journal

10.3847/1538-4357/ac1351

Observational study

Not applicable

Say Hello to Algol's New Companion Candidates

22-Oct-2021

Keywords

Article Information

Contact Information

Riitta-Leena Inki
University of Helsinki
riitta-leena.inki@helsinki.fi

Source

How to Cite This Article

APA:
University of Helsinki. (2021, November 4). Say hello to Algol’s new companion candidates. Brightsurf News. https://www.brightsurf.com/news/8OMMW231/say-hello-to-algols-new-companion-candidates.html
MLA:
"Say hello to Algol’s new companion candidates." Brightsurf News, Nov. 4 2021, https://www.brightsurf.com/news/8OMMW231/say-hello-to-algols-new-companion-candidates.html.