Bluesky Facebook Reddit Email

Cutting food waste alone won't solve world's nutritional needs

06.07.21 | American Society for Nutrition

CalDigit TS4 Thunderbolt 4 Dock

CalDigit TS4 Thunderbolt 4 Dock simplifies serious desks with 18 ports for high-speed storage, monitors, and instruments across Mac and PC setups.


Rockville, Maryland (June 7, 2021) -- Reducing food waste is crucial to our ability to feed the growing human population but will not fully solve the problem alone, according to a new study based on a computational model.

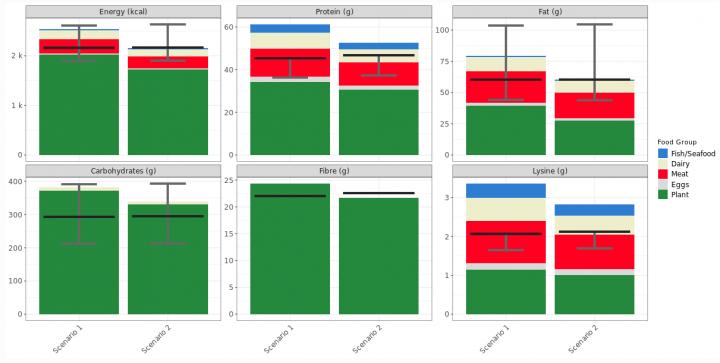
Researchers calculate that the world already produces enough protein and energy to feed 9.7 billion people--the projected population as of 2050--if food waste were cut in half. However, projections indicate global food production will still fall short in terms of micronutrients that our bodies need to stay healthy, including calcium, iron, vitamin E and others.

"Reducing food waste would give us enough protein and food energy to feed the 2050 population today--but not enough of the essential vitamins and minerals we need," said Nick Smith, PhD, a research officer at the Riddet Institute, the study's lead author. "This suggests that food waste is an important issue to tackle, but won't necessarily resolve all the world's nutritional needs."

Smith will present the research at NUTRITION 2021 LIVE ONLINE .

The study is based on the DELTA Model , a computational model that calculates the amount of food nutrients available to the global population under different assumptions about population size, agricultural productivity and food waste. Designed for use by researchers and the lay public alike, the model calculates the nutrients available under different scenarios after considering waste, animal feed uses and other non-food uses of agricultural productivity. One unique attribute of the DELTA Model is that it not only accounts for foods' nutritional content but our body's ability to utilize those nutrients.

"When thinking about food system sustainability, it's important to consider all aspects of sustainability: environmental, economic, social, health and nutritional," said Smith. "And nutrition doesn't just mean enough energy--it has to be the right foods, the right balance of nutrition."

One reason why cutting waste will only get us so far is that we tend to waste more of certain types of foods than others, researchers say. For example, we waste around 25% of vegetable mass after it leaves the farm gate, whereas for milk this number is around 7%. In terms of nutrients, this example contributes to a higher amount of fiber wasted compared to calcium and shows how cutting waste won't have the same impact across all nutrients.

Approximately 30% of food produced in the U.S. is wasted each year, according to a recent report . Food waste occurs at each point in the pipeline from farm to table, with consumer behaviors accounting for a sizeable portion. Models like DELTA can help inform decision making to optimize global food systems for the coming decades.

"The DELTA Model was not designed to find the 'right answer' for what the food system should look like," Smith noted. "Rather, it is a tool for understanding the food system, testing ideas and hypotheses and informing debate. Its results are important for the global conversation of what food the world needs to produce."

Smith will present this research in an on-demand session during NUTRITION 2021 LIVE ONLINE from noon on Monday, June 7 through 5:30 p.m. on Friday, June 10 ( abstract ; presentation details ).

Images available.

Please note that abstracts presented at NUTRITION 2021 LIVE ONLINE were evaluated and selected by a committee of experts but have not generally undergone the same peer review process required for publication in a scientific journal. As such, the findings presented should be considered preliminary until a peer-reviewed publication is available.

###

About NUTRITION 2021 LIVE ONLINE

NUTRITION 2021 LIVE ONLINE, held June 7-10, 2021 is a dynamic virtual event showcasing new research findings and timely discussions on food and nutrition. Scientific symposia explore hot topics including clinical and translational nutrition, food science and systems, global and public health, population science and cellular and physiological nutrition and metabolism. https://meeting.nutrition.org #NutritionLiveOnline

About the American Society for Nutrition (ASN)

ASN is the preeminent professional organization for nutrition research scientists and clinicians around the world. Founded in 1928, the society brings together the top nutrition researchers, medical practitioners, policy makers and industry leaders to advance our knowledge and application of nutrition. ASN publishes four peer-reviewed journals and provides education and professional development opportunities to advance nutrition research, practice and education. http://www.nutrition.org

Find more news briefs and tipsheets at: https://www.eurekalert.org/meetings/nutrition/2021/newsroom . Watch on-demand sessions, view posters and more by registering for a free pass to attend the virtual meeting.

Keywords

Contact Information

Anne Frances Johnson
media@nutrition.org

How to Cite This Article

APA:
American Society for Nutrition. (2021, June 7). Cutting food waste alone won't solve world's nutritional needs. Brightsurf News. https://www.brightsurf.com/news/L7V6E208/cutting-food-waste-alone-wont-solve-worlds-nutritional-needs.html
MLA:
"Cutting food waste alone won't solve world's nutritional needs." Brightsurf News, Jun. 7 2021, https://www.brightsurf.com/news/L7V6E208/cutting-food-waste-alone-wont-solve-worlds-nutritional-needs.html.