Bluesky Facebook Reddit Email

Polarization control of photonic molecules with evanescent wave coupling

04.10.25 | Light Publishing Center, Changchun Institute of Optics, Fine Mechanics And Physics, CAS

SAMSUNG T9 Portable SSD 2TB

SAMSUNG T9 Portable SSD 2TB transfers large imagery and model outputs quickly between field laptops, lab workstations, and secure archives.


Background

Polarization is an intrinsic property and information of photons that plays a crucial role in the study of quantum optics and light-matter interaction. Typically, the control of polarization can be achieved through waveplates and polarizers. However, achieving these devices in nanosystems raises challenges. In addition, while photons emitted by the optical nanocavity can be manipulated through filtering structures, many photons are lost during the filtering. Such filtering cannot directly control the polarization of cavity mode (eigenstate) nor the coupling with emitters embedded in the cavity. In contrast, direct fabrication of a cavity with fully controllable polarized eigenstates would be an efficient way to control the photons and the interaction with integrated emitters.

The manipulation of resonant energy and mode profile of a single nanocavity has been widely studied. but however, the polarization of photons emitted from the cavity mode is usually linear due to the broken of rotational symmetry. Artificial nanophotonic structures consisting of coupled nanocavities, a.k.a., photonic molecules (PMs), serve as an ideal platform for manipulating photons. When two resonant cavities are close enough, strong coupling occurs, allowing for the interaction of their modes and resulting in the formation of a pair of hybrid supermodes with discrete energy levels. This phenomenon is similar to the two-level systems generated by the interaction of atomic orbitals in hydrogen molecules. The coupling brings additional degrees of freedom; consequently, by altering the coupling between PMs, the energy and phase of photons can be manipulated coherently and dynamically. Owing to their scalable architectures and excellent optical properties, PMs indicate the great potential in applications based on quantum optics and cavity quantum electrodynamics. It also provides a new direction for realizing the next generation of integrated photonic devices.

Research progress

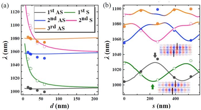
In a new paper published in Light: Science & Applications , a team of scientists, led by Professor Xiulai Xu from Peking University and co-workers have achieved full polarization control of photons through PMs consisting of two 1D photonic crystal nanobeam cavities. The coupling between PMs is influenced by two primary factors: the air gap d and the relative displacement s between the cavity centers. These two parameters are tuned continuously for high controllability. As shown in Fig. 1, the supermodes include the S and AS modes are obtained, identified by whether their electric field profiles have the same phase or a π -phase difference.

Conventionally, the S and AS mode are linear superpositions of each single cavity and their eigenenergies are ω 0 ± g with a symmetric splitting. However, the Hermitian coupling is only valid for a small coupling strength g with a large gap. As the gap d decreases, non-trivial effects arise. As shown in Fig. 2(a), the S mode red shift rapidly while the AS modes rarely shift, and Fig. 2(b) the additional phase shifts of the antinodes of the S and AS modes. These effects demonstrate the coupling in non-Hermitian regime, which means the eigenstates are complex supermodes with imaginary components arising from the evanescent wave coupling.

As the gap d decreases from the wavelength scale to the ultra subwavelength scale, the evanescent wave coupling dominates. The evanescent wave enables the control of polarization by introducing a phase shift between the in-plane and out-of-plane electric field at the boundary of dielectrics. Therefore, for the AS mode, both the angle and degree of polarization strongly depend on the gap d and shift s . Under the coupling of evanescent waves, the modulation of cavity mode photons from linear to circular polarization has been achieved, as shown in Fig.3.

Summary and outlook

The conventional passive filters for polarization control can only filter the photons that have already been generated by the emitter. This means the generation and polarization control of photons are separated, and thereby, many photons are lost during the filtering. In contrast, PM directly controls the polarization of the cavity eigenstate mode, and the emitters are embedded in the cavity. This means a direct control of the local optical field that couples to the embedded emitters, indicating a high efficiency in polarization control and the significant potential for applications in spin-resolved cavity quantum electrodynamics. The evanescent wave also provides the basis for controlling the momentum and other degrees of freedom of photons. In addition to the recently developed methods to control the separation in PMs using different degrees of freedom, the non-trivial features indicate the great potential of the PMs in applications based on quantum optics and cavity quantum electrodynamics.

Light Science & Applications

10.1038/s41377-025-01794-1

Full Polarization Control of Photons with Evanescent Wave Coupling in the Ultra Subwavelength Gap of Photonic Molecules

Keywords

Article Information

Contact Information

WEI ZHAO
Light Publishing Center, Changchun Institute of Optics, Fine Mechanics And Physics, CAS
zhaowei@ciomp.ac.cn

Source

How to Cite This Article

APA:
Light Publishing Center, Changchun Institute of Optics, Fine Mechanics And Physics, CAS. (2025, April 10). Polarization control of photonic molecules with evanescent wave coupling. Brightsurf News. https://www.brightsurf.com/news/LN2EEMM1/polarization-control-of-photonic-molecules-with-evanescent-wave-coupling.html
MLA:
"Polarization control of photonic molecules with evanescent wave coupling." Brightsurf News, Apr. 10 2025, https://www.brightsurf.com/news/LN2EEMM1/polarization-control-of-photonic-molecules-with-evanescent-wave-coupling.html.