Bluesky Facebook Reddit Email

AI can detect low-glucose levels via ECG without fingerprick test

01.13.20 | University of Warwick

Apple MacBook Pro 14-inch (M4 Pro)

Apple MacBook Pro 14-inch (M4 Pro) powers local ML workloads, large datasets, and multi-display analysis for field and lab teams.


A new technology for detecting low glucose levels via ECG using a non-invasive wearable sensor, which with the latest Artificial Intelligence can detect hypoglycaemic events from raw ECG signals has been made by researchers from the University of Warwick.Dr Leandro Pecchia with the new technology from the University of Warwick.

Currently Continuous Glucose Monitors (CGM) are available by the NHS for hypoglycaemia detection (sugar levels into blood or derma). They measure glucose in interstitial fluid using an invasive sensor with a little needle, which sends alarms and data to a display device. In many cases, they require calibration twice a day with invasive finger-prick blood glucose level tests.

However, Dr Leandro Pecchia's team at the University of Warwick have today, the 13th January 2020 published results in a paper titled 'Precision Medicine and Artificial Intelligence: A Pilot Study on Deep Learning for Hypoglycemic Events Detection based on ECG' in the Nature Springer journal Scientific Reports proving that using the latest findings of Artificial Intelligence (i.e., deep learning), they can detect hypoglycaemic events from raw ECG signals acquired with off-the-shelf non-invasive wearable sensors.

Two pilot studies with healthy volunteers found the average sensitivity and specificity approximately 82% for hypoglycaemia detection, which is comparable with the current CGM performance, although non-invasive.

Dr Leandro Pecchia from the School of Engineering at the University of Warwick comments:

"Fingerpicks are never pleasant and in some circumstances are particularly cumbersome. Taking fingerpick during the night certainly is unpleasant, especially for patients in paediatric age.

"Our innovation consisted in using artificial intelligence for automatic detecting hypoglycaemia via few ECG beats. This is relevant because ECG can be detected in any circumstance, including sleeping."

The figure shows the output of the algorithms over the time: the green line represents normal glucose levels, while the red line represents the low glucose levels. The horizontal line represents the 4mmol/L glucose value, which is considered the significant threshold for hypoglycaemic events. The grey area surrounding the continuous line reflects the measurement error bar.

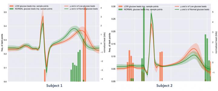
The Warwick model highlights how the ECG changes in each subject during a hypoglycaemic event. The figure below is an exemplar. The solid lines represent the average heartbeats for two different subjects when the glucose level is normal (green line) or low (red line). The red and green shadows represent the standard deviation of the heartbeats around the mean.

A comparison highlights that these two subjects have different ECG waveform changes during hypo events. In particular, Subject 1 presents a visibly longer QT interval during hypo, while the subject 2 does not.

The vertical bars represent the relative importance of each ECG wave in determining if a heartbeat is classified as hypo or normal.

From these bars, a trained clinician sees that for Subject 1, the T-wave displacement influences classification, reflecting that when the subject is in hypo, the repolarisation of the ventricles is slower.

In Subject 2, the most important components of the ECG are the P-wave and the rising of the T-wave, suggesting that when this subject is in hypo, the depolarisation of the atria and the threshold for ventricular activation are particularly affected. This could influence subsequent clinical interventions.

This result is possible because the Warwick AI model is trained with each subject's own data. Intersubjective differences are so significant, that training the system using cohort data would not give the same results. Likewise, personalised therapy based on our system could be more effective than current approaches.

Dr Leandro Pecchia comments:

"The differences highlighted above could explain why previous studies using ECG to detect hypoglycaemic events failed. The performance of AI algorithms trained over cohort ECG-data would be hindered by these inter-subject differences."

"Our approach enable personalised tuning of detection algorithms and emphasise how hypoglycaemic events affect ECG in individuals. Basing on this information, clinicians can adapt the therapy to each individual. Clearly more clinical research is required to confirm these results in wider populations. This is why we are looking for partners."

###

NOTES TO EDITORS

Images available credit to the University of Warwick at:

https://warwick.ac.uk/services/communications/medialibrary/images/january2020/leandro_ecg.jpg

https://warwick.ac.uk/services/communications/medialibrary/images/january2020/leandro_fig_1.jpg

https://warwick.ac.uk/services/communications/medialibrary/images/january2020/leandro_subjectsa_1_and_2.png

Paper available to view at: http://www.nature.com/articles/s41598-019-56927-5

FOR FURTHER INFORMATION PLEASE CONTACT:

Alice Scott
Media Relations Manager - Science
University of Warwick
Tel: +44 (0) 2476574255 or +44 (0)7920531221
E-mail: alice.j.scott@warwick.ac.uk

Scientific Reports

10.1038/s41598-019-56927-5

Keywords

Article Information

Contact Information

Source

How to Cite This Article

APA:
University of Warwick. (2020, January 13). AI can detect low-glucose levels via ECG without fingerprick test. Brightsurf News. https://www.brightsurf.com/news/LPE6RDK8/ai-can-detect-low-glucose-levels-via-ecg-without-fingerprick-test.html
MLA:
"AI can detect low-glucose levels via ECG without fingerprick test." Brightsurf News, Jan. 13 2020, https://www.brightsurf.com/news/LPE6RDK8/ai-can-detect-low-glucose-levels-via-ecg-without-fingerprick-test.html.