Bluesky Facebook Reddit Email

Physics analogies help gamify classroom quizzes and enhance student learning

12.27.21 | Japan Advanced Institute of Science and Technology

Kestrel 3000 Pocket Weather Meter

Kestrel 3000 Pocket Weather Meter measures wind, temperature, and humidity in real time for site assessments, aviation checks, and safety briefings.


Ishikawa, Japan - The concept of gamification is increasingly gaining popularity—tourists frequently traveling overseas earn frequent flier points from their preferred airline; customers purchasing apparel from their favorite fashion outlet accumulate customer loyalty points. Both of these examples involve gamification: the inclusion of game-like features (points) to increase the odds of a desired outcome (a future purchase). Although gamification has been used extensively by marketing professionals to entice customers, it finds limited applications in academic settings.

A team of researchers at the Japan Advanced Institute of Science and Technology (JAIST) has now formulated gamification guidelines that can transform classroom quizzes into highly engaging and rewarding activities. According to Dr. Mohd Nor Akmal Khalid, Assistant Professor, JAIST, and the lead author of the study, “ Challenges in education have continuously been addressed by integrating gamification, but a gap remains for game design principles that support user engagement .”

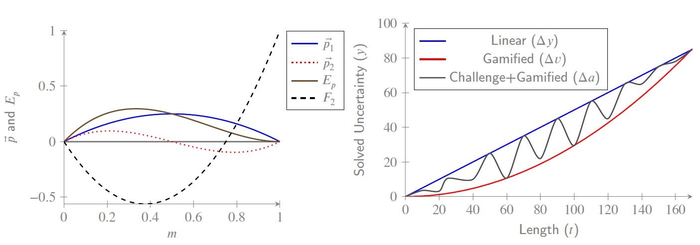
The research team incorporated “Kahoot!”—a game-based learning platform used as a technological tool in educational institutes—into their study design. Drawing inspiration from physics, the researchers identified gaming equivalents for various measurable quantities such as velocity, acceleration, and time—an application of the “motion in mind concept.” For example, “thrill” was defined as the gaming equivalent of gravitational acceleration and the “puzzle solving rate” was defined as the gaming equivalent of velocity.

Next, the team enrolled 120 Thai elementary school students in the age group 7–12 years and included both qualitative (data based on student interviews) and quantitative (data obtained from the gamified multiple-choice quizzes) methodologies into the experimental study. Multiple gamification strategies were adopted. For example, scores were assigned not only for correct answers but also for how fast each participant arrived at the correct answer. The difficulty level was also varied incrementally or randomly during a sub-part of the study. Ten participants were randomly selected and asked to share personalized feedback (e.g., overall experience, views, and opinions) on the conducted study.

The results of their study, which is published in the journal Heliyon , were quite promising. For instance, adding a score-based incentive for arriving quickly at the right answer led to relatively higher learning gains. In other words, time pressure resulted into higher engagement and motivation. When the difficulty level was increased, students either preferred to remain in their comfort zone or increase their effort.

Quite notably, when the difficulty level was randomized, it led to an increase in uncertainty and therefore boosted the thrill factor, or the gaming equivalent of “gravitational acceleration.” According to the researchers, participants who attempted to tackle difficult questions also amplified their learning skills during the process, in accordance with the flow theory. The team also noticed an interesting trend: when the challenge level exceeded a certain threshold, students felt relatively disengaged.

When interviewed, most students claimed that they were more engaged in gamified quizzing and experienced the feeling of being challenged. In this context, Dr. Khalid surmises, “ The best conditioning for learning occurs when game elements and well-designed mechanisms are incorporated. The game elements in the current study potentially encouraged students to change their behavior depending on the quiz's difficulty .”

From this study, we conclude that gamification effort empirically increases engagement and emergence behavior and our findings also show that gamified quizzing improves classroom activity ,” observes Punyawee Anunpattana, currently a Ph.D. student at JAIST and the first author of the study.

The authors recommend more such studies for the implementation of gamified classroom quizzing using other gamification designs and elements to further refine the process of student learning. After all, learning, like all human activities, is the most impactful when it’s fun!

###

Reference

Title of original paper:

Capturing Potential Impact of Challenge-Based Gamification on

Gamified Quizzing in the Classroom

Journal:

Heliyon

DOI:

10.1016/j.heliyon.2021.e08637

About Japan Advanced Institute of Science and Technology, Japan

Founded in 1990 in Ishikawa prefecture, the Japan Advanced Institute of Science and Technology (JAIST) was the first independent national graduate school in Japan. Now, after 30 years of steady progress, JAIST has become one of Japan’s top-ranking universities. JAIST counts with multiple satellite campuses and strives to foster capable leaders with a state-of-the-art education system where diversity is key; about 40% of its alumni are international students. The university has a unique style of graduate education based on a carefully designed coursework-oriented curriculum to ensure that its students have a solid foundation on which to carry out cutting-edge research. JAIST also works closely both with local and overseas communities by promoting industry–academia collaborative research.

About Dr. Mohd Nor Akmal Khalid from Japan Advanced Institute of Science and Technology, Japan

Dr. Mohd Nor Akmal Khalid has been working as an Associate Professor at the Japan Advanced Institute of Science and Technology since 2018. He obtained his Ph.D. from Universiti Sains Malaysia, where he primarily worked on evolutionary computing. Dr. Khalid has 63 journal and conference publications to his credit. His research interests include control and systems engineering, entertainment and game informatics, optimization, manufacturing systems, crowd evacuation modeling, evolutionary computing, search algorithms, discrete modeling and simulation, system analysis and design, and artificial intelligence. He has received best paper awards at three international conferences.

Funding information

This research was funded by a generous grant from the Japan Society for the Promotion of Science, in the framework of the Grant-in-Aid for Challenging Exploratory Research (grant number 19K22893).

Capturing potential impact of challenge-based gamification on gamified quizzing in the classroom

20-Dec-2021

Keywords

Article Information

Contact Information

Mohd Nor Akmal Khalid
Japan Advanced Institute of Science and Technology
akmal@jaist.ac.jp

Source

How to Cite This Article

APA:
Japan Advanced Institute of Science and Technology. (2021, December 27). Physics analogies help gamify classroom quizzes and enhance student learning. Brightsurf News. https://www.brightsurf.com/news/LQ44EVK8/physics-analogies-help-gamify-classroom-quizzes-and-enhance-student-learning.html
MLA:
"Physics analogies help gamify classroom quizzes and enhance student learning." Brightsurf News, Dec. 27 2021, https://www.brightsurf.com/news/LQ44EVK8/physics-analogies-help-gamify-classroom-quizzes-and-enhance-student-learning.html.