Bluesky Facebook Reddit Email

Improving pDSSAT model significantly enhanced the simulation accuracy of winter wheat phenology

12.31.21 | Science China Press

Celestron NexStar 8SE Computerized Telescope

Celestron NexStar 8SE Computerized Telescope combines portable Schmidt-Cassegrain optics with GoTo pointing for outreach nights and field campaigns.


Acquiring spatiotemporal patterns of phenological information and its drivers is essential for understanding the response of crops to climate change and implementing adaptation measures. Current approaches to obtain phenology and analyse its drivers include ground observation, remote sensing inversion and model simulation. However, these methods indeed have deficiencies, such as limited and sparse observations, excessive dependence of remote sensing inversion on sensors, and inevitable difficulties in upscaling site-based crop models into larger regions.

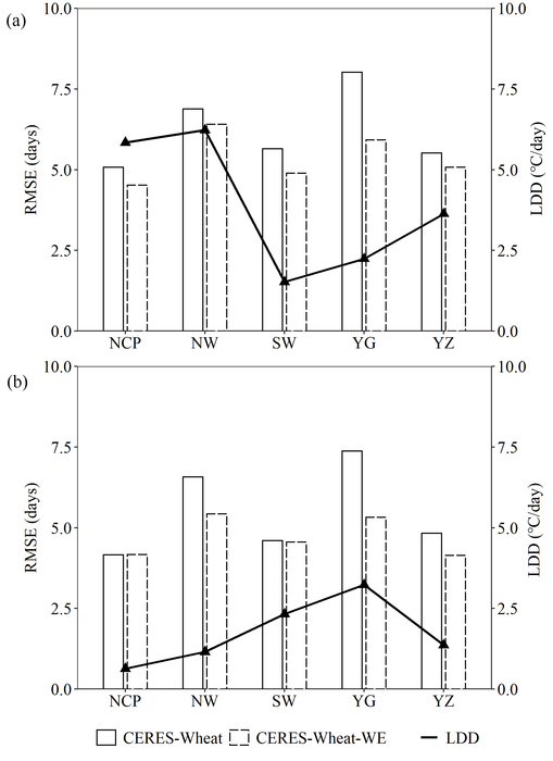
A research team led by Prof. Zhao Zhang from Beijing Normal University improves the phenological module of the CERES-Wheat model based on the Wang-Engel temperature response function, and uses the improved gridded pDSSAT model to analyze the spatiotemporal changes of winter wheat phenology in China from 2000 to 2015 and its climatic drivers. This research has been published in Science China Earth Sciences . The first author is Yuchuan Luo, a doctoral candidate, and the corresponding author is Prof. Zhao Zhang.

The study first enables the Wang-Engel temperature response function to improve the phenological module of the CERES-Wheat model. Then, they conduct the parameter calibration at the regional scale and evaluate the simulation accuracy of the original and improved models based on the phenological observations of Agricultural Meteorological Stations in each region. Finally, the pDSSAT model was used to simulate the key phenological dates at the grid scale from 2000 to 2015. The spatiotemporal characteristics of phenology and its sensitivity to climatic factors were further investigated.

The results showed that the improved model significantly enhanced the simulation accuracy of the anthesis and maturity dates in most planting areas. The simulated phenology of winter wheat grown in a colder environment also notably improved. Further analyses indicated that the anthesis date, maturity date, vegetative growth period (VGP), reproductive growth period (RGP), and the whole growth period over the past 16 years were dominantly advanced and shortened. The anthesis date, VGP, and RGP showed obviously spatial characteristics. The phenological dates and growth periods were advanced and shortened as the temperature rose, while they were postponed and prolonged with the increased precipitation. However, their responses to solar radiation varied across regions. They also discovered that the sensitivity of phenology to climatic factors differed across regions. For example, phenology in southwestern China was more sensitive to temperature and solar radiation than in the northern China.

"This work highlights that different planting areas should adopt suitable adaptation measures to cope with climate change impacts. The improved model is promising to enhance the accuracy of yield prediction and provide powerful tools for assessing regional climate change impact and adaptability,” wrote the researchers.

This research was funded by the National Natural Science Foundation of China (Grant Nos. 41977405, 42061144003).

See the article:

Spatiotemporal patterns of winter wheat phenology and its climatic drivers based on an improved pDSSAT model

https://doi.org/10.1007/s11430-020-9821-0

Science China Earth Sciences

10.1007/s11430-020-9821-0

Keywords

Article Information

Contact Information

Bei Yan
Science China Press
yanbei@scichina.org

How to Cite This Article

APA:
Science China Press. (2021, December 31). Improving pDSSAT model significantly enhanced the simulation accuracy of winter wheat phenology. Brightsurf News. https://www.brightsurf.com/news/LRDDO0R8/improving-pdssat-model-significantly-enhanced-the-simulation-accuracy-of-winter-wheat-phenology.html
MLA:
"Improving pDSSAT model significantly enhanced the simulation accuracy of winter wheat phenology." Brightsurf News, Dec. 31 2021, https://www.brightsurf.com/news/LRDDO0R8/improving-pdssat-model-significantly-enhanced-the-simulation-accuracy-of-winter-wheat-phenology.html.