Bluesky Facebook Reddit Email

Prof. Zhu Tong’s team reveals the association between short-term exposure to ultrafine particles (UFPs) and fasting blood glucose (FBG) levels increase

03.09.22 | Peking University

SAMSUNG T9 Portable SSD 2TB

SAMSUNG T9 Portable SSD 2TB transfers large imagery and model outputs quickly between field laptops, lab workstations, and secure archives.


Professor Zhu Tong’s team from the College of Environmental Sciences and Engineering, Peking University, reveals how short-term exposure to ultrafine particles (UFPs) may contributes to an increase in fasting blood glucose (FBG) levels. The study, tilted with “Transcriptional pathways of elevated fasting blood glucose associated with short-term exposure to ultrafine particles: A panel study in Beijing, China”, is published in Journal of Hazardous Materials (Doi: 10.1016/j.jhazmat.2022.128486).

UFPs, particles with aerodynamic diameters less than 100 nm, is an important toxic component of ambient particulate matter (PM). UFPs have negligible mass but contribute substantially to the ambient PM pollution. There is a growing concern about the health effects of UFPs on human health. Epidemiological studies have suggested that both short- and long-term exposure to ambient PM may be risk factors for FBG variation. However, the potential biological mechanisms underlying the elevated levels of FBG associated with PM exposure are still unclear.

To examine the association between short-term UPFs exposure and FBG levels, Zhu Tong’s team conducted a panel study in the Shi Cha Hai Community, Beijing from 2016 to 2017, in collaborate with PKU First Hospital and Shi Cha Hai Community Health Service Center. They recruited 135 participants and monitored the air pollution near them. After completing 410 clinical visits, they observed a consistent, robust increase in FBG levels following exposure to average 1–13 d UFPs concentrations, which peaked in the 13-d time-window (figure 1).

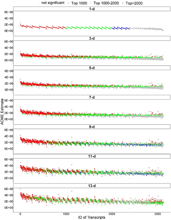
In order to explore the potential mechanism associated with FBG increase following UFP exposure, the research team measured FBG and the whole blood transcriptome repeatedly. They discovered that transcripts were significantly associated with UPFs exposure and elevated FGB (Figure 2). Further enrichment analysis suggests the potential biological pathways between FBG increase and UFP exposure, such as pro-opiomelanocortin processing, negative regulation of hypoxia-inducible factor 1 A function (Figure 3).

This study adds to the epidemiological evidence of health damage caused by short-term UFPs exposure. Furthermore, it provides new insights into the potential mechanism of changes in health indicator levels following exposure to pollutants, suggesting that future research should focus more on the effects and mechanisms of UFPs exposure in the air on human health.

Ph.D student Yao Yuan and Dr. Chen Xi from PKU College of Environmental Sciences and Engineering are the co-first authors of the paper, and Zhu Tong is the corresponding author. The work was supported by several big national projects.

Journal of Hazardous Materials

10.1016/j.jhazmat.2022.128486

Transcriptional pathways of elevated fasting blood glucose associated with short-term exposure to ultrafine particles: A panel study in Beijing, China

12-Feb-2022

Keywords

Article Information

Contact Information

Jiang Zhang
Peking University
zhangjiang@pku.edu.cn

How to Cite This Article

APA:
Peking University. (2022, March 9). Prof. Zhu Tong’s team reveals the association between short-term exposure to ultrafine particles (UFPs) and fasting blood glucose (FBG) levels increase. Brightsurf News. https://www.brightsurf.com/news/LPEVER08/prof-zhu-tongs-team-reveals-the-association-between-short-term-exposure-to-ultrafine-particles-ufps-and-fasting-blood-glucose-fbg-levels-increase.html
MLA:
"Prof. Zhu Tong’s team reveals the association between short-term exposure to ultrafine particles (UFPs) and fasting blood glucose (FBG) levels increase." Brightsurf News, Mar. 9 2022, https://www.brightsurf.com/news/LPEVER08/prof-zhu-tongs-team-reveals-the-association-between-short-term-exposure-to-ultrafine-particles-ufps-and-fasting-blood-glucose-fbg-levels-increase.html.